![]() | Afaceri | Agricultura | Economie | Management | Marketing | Protectia muncii |
| Transporturi |
Nivelul productiv al firmei este determinat in functie de partea activa (transformatoare a mijloacelor de productie, urmarindu-se doua obiective:
Obtinerea profitului se afla sub influenta strategica a firmei in aceasta directie, si anume: maximizarea profitului si serviciile create (prestate), respectiv maximizarea profitului pe termen lung, prin cresterea volumului vanzarilor pe seama redu-cerii pretului unitar la bunurile si serviciile respective. Prin urmare, se impune fundamentarea unui nivel productiv (grad de utilizare a capacitatii de productie) al firmei, care sa corespunda, in primul rand, programului de rentabilitate, iar, in al doilea rand, sa permita maximizarea profitului sau vanzarilor. Rezolvarea primei probleme presu-pune folosirea metodei "pragului de rentabilitate", care, in functie de variabilitatea elementelor luate in calcul, se prezinta in doua variante:
a) Pragul de rentabilitate liniar este o metoda care permite determinarea punctului (PR) in care veniturile din vanzari (CA) egaleaza costurile de productie. Altfel spus, punctul la care firma incepe sa devina rentabila. Determinarea pragului de rentabilitate presupune rezolvarea urmatorului sistem de ecuatii:

in care: VT - veniturile totale din incasari; CT - cheltuielile totale ce stau la baza obtinerii VT; pu - pretul unitar; Cft- costurile fixe totale; Cvu - costurile variabile unitare; Qf,v - productia (exprimata in unitati fizice si valorice).
La nivelul pragului de rentabilitate (PR), VT = CT, ceea ce inseamna ca volumul productiei in pragul de rentabilitate este:

Intrucat, la un moment dat unele costuri fixe ale firmei (amortizare) nu reprezinta, practic, iesiri de numerar, se pune problema determinarii pragului de rentabilitate fara a lua in considerare aceste iesiri (A), caz in care relatiile de mai sus devin:
![]()
Nivelul pragului de rentabilitate (Q'), in acest caz, este inferior nivelului cal-culat cu relatia anterioara (Q), ca urmare a diminuarii costurilor fixe totale. Ca ur-mare, volumul productiei de la care firma intra in zona profitabilitatii este mai mic.
Pragul de rentabilitate si gradul (coeficientul) de utilizare a capacitatii de productie (K) se prezinta in graficul din figura 5.5.

Fig. 5.5. PR si K in cazul cererii inelastice
Gradul de utilizare a capacitatii de productie se determina pornind de la urmatorul sistem de ecuatii:

in care: CP - capacitatea de productie
In baza celor de mai sus putem concluziona ca K(K') este coeficientul (gradul) de utilizare a capacitatii de productie in pragul de rentabilitate, in cazul unei cereri inelastice.
b) Pragul de rentabilitate nonliniar are la baza o cerere elastica (pretul se reduce o data cu cresterea cererii) si pune in evidenta zonele de profit si pierdere in cazul in care variabilele luate in calculul PR se modifica in timp. Este vorba, de fapt, de mai multe praguri de rentabilitate, primul concretizat in costuri in crestere si venituri in crestere, dar cresterea veniturilor din incasari este superioara cresterii ocazionate, iar al doilea este caracterizat de costuri in crestere si venituri in crestere, dar cresterea costurilor este superioara cresterii veniturilor. Aceasta evolutie este prezentata in figura 5.6., iar cele doua praguri sunt PR1 si PR2.

Fig. 5.6. PR si K in cazul cererii elastice
Evolutiile VT si a CT sunt posibile, in varianta prezentata, datorita faptului ca intreprinzatorii, din dorinta de a vinde un volum mai mare de produse reduc pretul de vanzare unitar, care este in raport invers proportional cu volumul productiei si, ca atare, se ajunge la cel de-al doilea punct critic (PR2), de la care firma intra in zona falimentara.
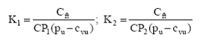
Coeficientul de utilizare a capacitatii de productie, corespunzator celor doua praguri, se determina cu relatiile:

Rezolvarea celei de-a doua probleme, presupune determinarea gradului de utilizare a capacitatii de productie care sa permita maximizarea profitului sau van-zarilor. Aceasta problema se pune in cazul unei cereri elastice, iar solutiile se deduc pe cale matematica, folosind calculul diferential. In acest caz, putem vorbi de grade de utilizare a capacitatii de productie, care reprezinta solutii la urmatoarele probleme:
. maximizarea profitului pe unitatea de produs;
. maximizarea volumului vanzarilor care asigura maximizarea masei profitului.
Reprezentarea din figura 5.6. ne permite sa mentionam nivelul productiei (Qm) si coeficientul capacitatii de productie (Km) la care se maximizeaza profitul pe unitate de produs, precum si nivelul productiei (Q2) si coeficientul utilizarii capacitatii de productie (K2) la care se maximizeaza volumul vanzarilor (QM, KM).
Satisfacerea cerintelor pietei, in cantitatea, structura si calitatea cores-punzatoare presupune un anumit grad de flexibilitate a ofertei pe piata si existenta unei anumite rezerve de capacitate. De fapt, flexibilitatea capacitatii de productie este o consecinta a rezervei de capacitate. Ea se poate manifesta atat ca urmare a cresterii cererii, cat si ca urmare a reducerii cererii, raportata la o situatie considerata normala.
Flexibilitatea, respectiv rezerva de capacitate, poate sa fie atat de natura extensiva, cat si de natura intensiva. De aceea, ele trebuie identificate si valorificate la nevoie, in scopul mentinerii segmentelor de piata si/sau a clientelei sau chiar castigarea a noi segmente de piata si/sau clientela. In acest scop, al folosirii flexibilitatii in men-tinerea capacitatii concurentiale, intreprinzatorii trebuie sa se bazeze pe existenta unor premise de comportament, considerate drept obiective strategice permanente, si anume:
. pretul (costul de productie) reprezinta elementul esential al competiti-vitatii, chiar daca, in ultimul timp, calitatea a devenit din ce in ce mai mult un criteriu esential de apreciere a acestei lupte;
. folosirea eficienta a potentialului productiv va permite firmei sa ofere pe piata bunuri si servicii la cel mai mic cost si, deci, reprezinta un criteriu de dimensionare a volumului de productie (ofertei).
De asemenea, firmele trebuie sa aiba in vedere toate formele de conservare a avantajelor concurentiale, ceea ce impune strategii de inhibare a patrunderii pe piata a altor concurenti. Dintre barierele de intrare pe piata a concurentilor si care dau po-sibilitatea folosirii la capacitate a tuturor disponibilitatilor in domeniul aparatului de productie, mentionam: publicitatea, cercetarea-dezvoltarea, capacitatea excedentara, bariere institutionale s.a.
Copyright © 2025 - Toate drepturile rezervate