![]() | Aeronautica | Comunicatii | Constructii | Electronica | Navigatie | Pompieri |
| Tehnica mecanica |
TUNELURI SI METROPOLITANE
I. Introducere
Definitie
Tunelul este o constructie subterana, destinata sa asigure continuitatea unei cai de comunicatie in conditiile in care traseul trece pe sub nivelul terenului, prin straturile de roci si pamanturi din portiunea superficiala a litosferei.
|
hd TUNEL |
Fig. 1
Dezvoltarea cailor de comunicatii, mai ales a cailor ferate a generat dezvoltarea constructiei de tuneluri.
hd > hdcr ( pentru o roca data) TUNEL
De la ce adancime de debleu se trece la executia tunelului rezulta dintr-un calcul tehnico-economic:
Cd = cost debleu
CT = cost tunel
Cd CT hdcr
Cd > CT TUNEL
Exista si alte elemente tehnice care pot decide executia tunelurilor.
Elementele unui tunel
Intersectia obtinuta cu un plan perpendicular pe axul tunelului, releva elementele care alcatuiesc sectiunea transversala a unui tunel (fig.2)
|
|
Fig 2
Captuseala sau structura de rezistenta este destinata sa preia incarcarile date de masiv, fara deformatii mentinand sectiunea libera a tunelului.
Fundatiile captuselii constitue elementul ce transmite la terenul de fundatie incarcarile si impingerile preluate de captuseala sub presiunea masivului muntos.
Zidurile drepte (piciore drepte) sunt partea captuselii cuprinsa intre patrea superioara a fundatiilor si nasterea boltii.
Bolta alcatuieste partea superioara a captuselii si este cuprinsa intre planurile nasterilor si cheia boltii.
Radierul alcatuieste partea inferioara a captuselii si este cuprins intre cele doua fundatii ale zidurilor drepte.
Prin constructia sub forma de bolta interioara, ea asigura preluarea presiunilor de jos in sus, precum si mentinerea distantei dintre fundatiile zidurilor drepte.
Sectiunea libera interioara constitue sectiunea utila si este denumita gabaritul tunelului.
Gabaritul poate fi :
de constructie - adica conturul transversal limita in plan vertical perpendicular pe axa tunelului al sectiunii libere interioare.
de circulatie - adica conturul transversal limita in planul vertical perpendicular pe axa caii, in interiorul caruia in afara de mijlocele de transport nu trebuie sa intre nici o parte a constructiei sau a instalatiilor fixe ale tunelului.
Clasificarea tunelurilor
a). Dupa scopul (functiunea)
tuneluri pentru cai ferate
tuneluri rutiere
tuneluri in orase (metrouri)
tuneluri apeduct
tuneluri pentru navigatie
tuneluri hidrotehnice
b). Dupa locul
tuneluri in munte
tuneluri urbane (metrouri)
tuneluri pe fundul apelor
c). Dupa forma axei
in plan orizontal - aliniament
- curba
in plan vertical (profil longitudinal) - palier
- in declivitate
d). Dupa forma captuselii
clopot
potcoava
ovoidal
circular
e). Dupa modul de executie
in subteran
in transee deschisa.
II. Determinarea presiunii rocilor
Generalitati
In interiorul maselor de roci din scoarta, echilibrul este asigurat ca urmare a trei categorii de forte:
forte gravitationale
forte endogene, de natura tectonica
forte endogene, generate de atractia corpurilor extraterestre.
|
MASIV IN ECHILIBRU |
|
Fig. 3
Executarea excavatiilor subterane, produce perturbarea starii de tensiune preexistente, ducand la aparitia unor tensiuni ce pot depasi limita de elasticitate, producand aparitia zonelor plastice. Ca urmare, zonele cu tensiuni mai mari se deplaseaza spre interiorul masivului, rezultand in jurul excavatiei tensiuni mai mici ce pot provoca afanarea rocii, formand zona lui Trompeter (fig.4):
|
|
|
Fig. 4 |
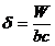
Examinand
cazul unei galerii orizontale, cu sectiunea circulara, excavata
intr-un semispatiu continuu, omogen, izotrop, elastic si liniar
deformabil atunci cand
si
sunt eforturile unitare principale, in
situatia initiala naturala, KIRSCH utilizeaza functia biarmonica Airy de forma:
(1)
|
M(r q q r |

(2)
![]()
(3)
conditii la limita
(4)
(5)
Notam
, daca
Cu aceste notatii:
(6)
presiunea
litostatica
constanta
lui Poisson
La
distanta suficient de mare de la marginea galeriei ![]()
(7)
Se observa ca eforturile unitare in masivul din jurul excavatiei nu depind de caracteristicile mediului ci de starea naturala de deformatii si de marimea razei excavatiei.
Pentru
m=5 si
Eforturile
unitare maxime de compresiune
se
gasesc la pereti in timp ce la tavan eforturile unitare de intindere
au valoarea ![]()
Estimarea presiunii verticale a rocii. Metode pratice de evaluare a incarcarilor
Metodele de estimare a presiunilor verticale sunt grupate in trei grupe:
Metode care tin seama de grosimea straturilor de roci deasupra tunelurilor
2.1. a. Metoda Terzaghi
Initial teoria lui Terzaghi a fost stabilita pentru (pamanturi) roci necoezive insa ea poate fi extinsa si pentru roci coezive.
Schema de calcul:
|
|
Fig. 6
Terzaghi a stabilit presiunea ce se exercita asupra unei captuseli de tunel pe baza observatiilor rezultate in urma unor experiente cu nisip.
=(1,.1.5) - relatie experimentala
![]()
Ecuatia de echilibru (echilibrul elementului de grosime dz si de latime B):
(1)
![]()
![]()
(2)
conditiile la limita: z=0 ,
Solutia ecuatiei diferentiale (2):
(3)
In cazul rocilor necoezive C=0 si fara suprasarcina q=0:
(4)
daca z=H ![]()
presiunea verticala pe
captuseala (5)
In cazul in care tunelul este amplasat la o adancime H>2.5B TERZAGHI considera ca tasarea straturilor situate sub aceasta adancime, nu influenteaza starea de tensiune din straturile superioare, prin urmare se distinge o inaltime H2, in care se manifesta efectul de bolta:
|
|
Fig. 2
(6)
Daca H2 devine mai mare ca
termenul al doilea se
poate neglija.
La adancimi mari
Cand
termenul exponential tinde catre
zero, iar presiunea se poate calcula cu expresia:
(7)
In general teoria lui Terzaghi,
da rezultate suficient de precise in cazul rocilor necoezive, pentru
adancimi de amplasare
2.1.b. Teoria lui Suquet
Schema de calcul:
|
|
Fig. 3
Teoria lui Suquet aplicabila pentru metropolitane executate in apropierea suprafetei terenului se bazeaza pe observatiile efectuate la constructiile metroului din Paris.
Deasupra excavatiei se formeaza o bolta de pamant ce preia o parte din greutatea coloanei de pamant, de deasupra captuselii.
Diferenta determina aparitia asupra captuselii a unei presiuni considerate uniform distribuita.
(8)
Pentru cazul cand h are valori mari atunci inaltimea m a calotei se poate neglija:
(9)
2.1.c. Teoria lui Eszto
|
q |

Metode care nu tin seama de influenta adancimii de amplasare a tunelurilor
3.2.1.a. Metoda lui Protodiakonov
Bazat pe o serie de date practice Protodiakonov a ajuns la concluzia ca deasupra tavanului excavatiei se formeaza o bolta a carei forma ii asigura echilibrul numai prin eforturi de compresiune, fara momente incovoietoare sub actiunea presiunii geologice.
Bolta care apasa asupra galeriei se numeste "bolta de naruire" ("bolta de prabusire").
|
volum ce incarca galeria |
Fig.1
deplasare infinitezimala
Bolta de prabusire care
actioneaza asupra galeriei se considera ca s-a desprins de
restul masivului, masivul ramanand in echilibru in jurul unui gol de forma
boltii de echilibru.
|
|
Fig. 2
Daca acest gol ramane in echilibru (fara sa se prabuseasca) inseamna ca greutatea care apasa asupra galeriei este egala cu greutatea boltii de prabusire (G).
Pentru a calcula valoarea lui G trebuie sa cunoastem:
ecuatia conturului boltii de prabusire
inaltimea boltii de prabusire (h)
Daca roca se mentine in echilibru cu golul in el inseamna ca conturul acestei bolti este o curba de coincidenta deci in orice sectiune a boltii M=0.
Se considera o bolta cu trei articulatii:
Shema de calcul:
|
t |
Fig. 3
Definirea coeficientului de duritate al rocilor:
![]()
unghi de frecare
interioara
C - coeziunea
p -presiunea uniform repartizata data de coloana de pamant pana la suprafata pe latimea b
![]()
presiune orizontala
uniform distribuita
![]()
- ecuatia boltii de presiune (10)


![]()
![]()
Bolta va avea stabilitate maxima daca: ![]()
![]()
, ![]()
- inaltimea boltii de naruire (11)
Ecuatia boltii de prabusire:
Greutatea boltii de prabusire :![]()
(12)
fr - coeficient de duritate (s-a determinat experimental)
fr = 0.3.20 functie de natura rocilor.
METODE CARE TIN SEAMA DE GROSIMEA STRATURILOR DE ROCI DE DEASUPRA TUNELURILOR
Teoria lui Bierbaumer
|
|
P - forta care actioneaza asupra captuselii
![]()


Teoria lui Terzaghi
|
|
Teoria este valabila pentru pamanturi necoezive C=0.
, pentru y = H
Teoria da rezultate bune pentru H > 3B
![]()
METODE CARE NU TIN SEAMA DE INFLUENTA ADANCIMII DE AMPLASARE A TUNELULUI
Teoria lui Kommerell
|
|
|
![]()
a - procent de afanare
nisipuri, pietrisuri a = 1-3%
argile uscate a = 3-5%
marne a = 5-8%
gresii, calcare a = 8-12%
roci compacte a= 10-15%.
Teoria lui Ritter
|
a |
P - forta care actioneza asupra galeriei
ecuatia parabolei : ![]()
![]()

- sustinerea excavatiei este
necesara
- rezistenta de rupere
prin intindere a rocii.
Teoria lui Protodiakonov
|
de prabusire t |
|
![]()
frez - coeficient de duritate
![]()
- forta concentrata care actioneaza asupra
captuselii
Estimarea presiunilor laterale
3.a. Teoria lui Protodiakonov
Se considera ca in cazul terenurilor slabe se formeaza doua bolti de naruire iar greutatea cuprinsa intre cele doua bolti constitue supraincarcarea pentru cele doua prisme de alunecare.
|
|
, ![]()
![]()
![]()
![]()
(13)
Impingerea laterala
(14)
(14')
unde: Ka - coeficientul de impingere activa
Daca: frez >5 nu avem impingeri laterale
frez
avem impingeri laterale.
Diagrama de presiuni laterale:
|
|
Calculul presiunilor de jos in sus exercitate asupra talpii excavatiei tunelului
|
|
Fig. 1
p1= p2
p1-presiune activa, p2- presiune pasiva
x0 - adancimea pana cand se manifesta refularea
Cu cat unghiul de frecare interior
este mai mic cu atat x0 va fi mai mare.
a. Metoda Timbarevici
|
|
Fig. 2


E = Ea - Ep

- presiunea
exercitata de jos in sus.
b. Metoda Davidov (in roci necoezive)
|
|
Fig. 3
,


notand : D = Ea - Ep
|
|
Fig. 4
(15
N trebuie echilibrata de greutatea radierului si a umpluturii.
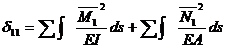
III. Calculul structurilor de rezistenta utilizate la constructii subterane
Calculul boltii dublu incastrate
|
|
||||||
|
Fig. 1 |
- grosimea boltii la cheie(0)
- grosimea boltii
la nasteri (n)
- moment de inertie la cheie
- moment de inertie la nasteri
Bolta cu moment de inertie variabil
Variatiile momentului de inertie dupa Ritter:
, unde : ![]()
, daca : n = 1 ![]()
la nastere
La lucrari subterane (tuneluri, metrouri) se utilizeaza bolta cu moment de inertie variabil sau bolta cu moment de inertie constant.
Dupa forma axei boltii la lucrarile subterane intalnim (fig 2-a,b,c,d)
1). bolta pleostita sub forma de parabola cu : - d, I variabil
d, I constant.
2). bolta sub forma circulara cu : - d, I variabil
- d, I constant.
3). bolta sub forma de potcoava cu : - d,I variabil
- d,I constant.
4). sectiuni inelare (circulare) cu moment de inertie constant.
|
|
|
|
fig.2/c.Bolta dublu incastrata sub forma de potcoava |
fig.2/d. Sectiune inelera |
Fig. 2
Calculul boltii dublu incastrate solicitata la incarcari verticale uniform repartizata
Bolta dublu incastrata este de trei ori static nedeterminata.
Necunoscutele le vom nota: X1, X2, X3 (vezi fig. 3/a, b):
|
fig.3/a |
Calculul coeficientilor sistemului (1) se efectueaza pe sistemul de baza, static determinat (fig.3/b)
Sistemul de baza (static determinat) :
|
|
fig. 3/b
Calculul se face cu metoda fortelor. Ecuatiile metodei fortelor sunt urmatoarele:
Ecuatiile din sistemul (1) reprezinta :
Rotirea in punctul B datorata actiunii fortelor X1=1, X2=1, X3=1
Deplasarea pe orizontala in punctul B este egala cu zero.
Deplasarea pe verticala in punctul B este egala cu zero.
Sistemul (1) poate fi scris sub forma:
(2)
i= 1,2,3
- deplasarea
generalizata (deplasare sau rotire) pe directia i, produsa de necunoscutele Xk=1 (deplasarile se calculeza pe sistemul de
baza static determinat).
Exemplificand :
- rotirea in punctul B produsa de momentul incovoietor
unitar X1=1
-rotirea in punctul B produsa datorita fortei X2=1
- rotirea in punctul B produsa datorita fortei X3=1
- deplasarea pe orizontala in punctul B datorita momentului unitar X1=1
- deplasarea pe orizontala in punctul B datorita fortei X2=1
- deplasarea pe orizontala in punctul B datorita fortei X3=1
-deplasare pe verticala in punctul B datorita momentului unitar X1=1
- deplasarea pe verticala in punctul B datorita fortei X2=1
- deplasarea pe verticala in punctul B datorita fortei X3=1
![]()
![]()
Vezi fig. 4/a,b,c
![]()
|
fig.4/a
|
|
![]()
|
|
Fig.4/c
Matricea coeficientilor
sistemului (1)

- deplasarea pe directia
necunoscutei i, produsa de
incarcarea exterioara p
rotirea in
punctul B produsa de incarcarea
p (fig.5)
deplasarea
pe orizontala in punctul B produsa
de incarcarea p (fig.5)
- deplasarea pe
verticala in punctul B
produsa de incarcarea p
(fig.5)
|
fig.5
Dupa determinarea coeficientilor (rotirilor,
deplasarilor) Determinarea eforturilor in bolta se determina pe sistemul de baza cunoscand toate fortele exterioare p, X1, X2, X3 (fig.6):
fig.6 |
Sistemul de axe: in acest caz alegem originea in punctul B.
M(x) - momentul incovoietor in sectiunea X
N(x) - forta axiala in bolta in sectiunea X

Pentru a simplifica calculele, la bolti simetrice, pentru ca fiecare ecuatie sa contina doar o necunoscuta vom folosi centrul elastic (c) (fig.7)
Centrul elastic este centrul de greutate a elementelor
la boltile cu moment de inertie
variabil.
|
fig. 7 |
La bolti simetrice, incarcate simetric X3=0 .
Ordonata centrului elastic se determina din conditia
(3)
Daca necunoscutele vor fi mutate in centrul elastic (O atunci fiecare ecuatie contine o singura necunoscuta (4).
adica:
(4)
Ecuatiile din sistemul (4) reprezinta:
- rotirea in centrul elastic este egala zero,
- deplasarea pe orizontala in centrul elastic este zero.
La arce cu moment de inertie variabil (fig 8):
![]()
-moment de
inertie ales arbitrar.
![]()
(5)
|
fig.8
fig.8.1 |
,
, ![]()
(6)
Calculul aproximativ al centrului elasic (6) este conform figurii 7:
Sistemul de baza in acest caz fig. 7:
|
|
Se calculeaza conform relatiei (7):
(7)
Cu necunoscutele X1 si X2 se calculeaza eforturile sectionale M,N, pentru un punct oarecare P(x,y).
Pentru determinarea necunoscutelor deplasarile se calculeaza cu relatiile (8), (9), (10), (11):
(8)
(9)
(10)
(11)
Pentru nevoile proiectarii curente sunt suficiente din relatiile (8), (9), (10), (11), doar primii termeni.
Diagramele de momente:
sunt determinate pe sistemul de baza fig.9/b,c,d:
|
fig.9 a
|
fig. 9/b daca: |
||||||
|
fig.9/c
|
|||||||
Eforturile sectionale:
(12), (13)
In cazul boltilor cu axa
circulara se pot efectua calcule in coordonate polare, fig. 10:
![]()
|
fig.10 |
Cu acesta expresie a coordonatelor, expresia lui Mp :
daca: ![]()
5.3. Calculul boltii dublu incastrate considerand sistemul de baza nesimetric, fig.11:
|
fig.11 |
Notand: ![]()
Sistemul de ecuatii a metodei fortelor:
Coeficientii (deplasarile si rotirile) se calculeaza cu urmatoarele relatii:
(16)
Deplasarile din incarcarcarea exterioara uniform repartizata (17):
(17)
- daca structura este simetrica.
Intr-o sectiune oarecare eforturile sectionale M si N se calculeaza cu relatiile:
(18), (19).
Calculul sectiunii dreptunghiulare

Fig. 1
Peretii AB si CD au moment de inertie I0
Peretii AD si BC au moment de inertie I
Centrul elastic O se afla la mijlocul cadrului ![]()
- rapotul
momentelor de inertie
![]()
![]()
![]()
![]()
![]()
![]()
![]()

Momentul incovoietor in punctele A,B,C,D se calculeaza cu relatia:
![]()

![]()
La mijlocul deschiderii pe grinzile transversale
![]()
![]()
Pe peretii verticali momentul incovoietor va fi ![]()
Metoda analitica de descompunere a structurii de rezistenta in elemente componente
Q- greutatea proprie bolta
Q0-greutatea boltii de naruire
greutatea penelor de pamant
Bolta este dublu incastrata (3 ori static nedeterminata)
Sistem de baza

i=1,2,3 k=1,2,3
![]()
eforturi din incarcari
uniform repartizate verticale
eforturi din incarcari
orizontale
Coeficientii
sunt dati in tabelul nr. 1 in functie de ![]()
Eforturile sectionale sunt determinate in punctele 1,2,3
Tabel nr. 1
Daca calculul boltii dublu incastrate se efectueaza cu metoda fortelor conform celor aratate in paragraful anterior, eforturile sectionale M si N sunt determinate cu urmatoarele relatii conform figurii
Determinand M si N in incastrare rezulta ![]()
![]()
La fel se calculeaza si radierul rezultand ![]()
![]()
Cunoscand aceste elemente se trece la calculul zidului drept
Calculul zidului drept

Deplasarile infinitezimale
![]()
![]()
![]()
In calculele practice se lucreaza ![]()
Fortele care actioneaza asupra zidului drept se afla in echilibru daca:

Considerand zidul un corp rigid, la rotirea lui avem relatia:
figura
![]()
![]()



![]()
- bratele fortelor ![]()

![]()
![]()
![]()
![]()
si
se inlocuiesc in
respectiv
dupa care
si
se inlocuiesc in ecuatia de momente.

![]()
![]()
![]()


Sistemul se rezolva, necunoscutele fiind
si
![]()
![]()
Din ecuatiile 3, 4, ![]()
care vor fi inlocuite in relatia
si ![]()
In acest fel cele 4 necunoscute sunt determinate.
Copyright © 2026 - Toate drepturile rezervate