![]() | Aeronautica | Comunicatii | Constructii | Electronica | Navigatie | Pompieri |
| Tehnica mecanica |
Impedante echivalente
In cazul unui circuit complex, care are numai doua borne de acces cu exteriorul (dipol), numim impedanta echivalenta complexa a dipolului, raportul dintre valoarea complexa a tensiunii la borne si valoarea complexa a curentului absorbit pe la una din borne, regula de asociere fiind cea de la receptoare (fig. 1):
(1)
Valoarea inversa a impedantei complexe echivalente este admitanta echivalenta complexa:
(2)
1. Impedanta echivalenta a unei grupari serie de impedante fara cuplaje magnetice (fig. 2)
In cazul conectarii in serie a impedantelor, tensiunea aplicata este data de suma caderilor de tensiune de pe impedante, relatia 3.
(3)

Deoarece curentul este acelasi in toate impedantele, aplicand legea lui Ohm pentru fiecare impedanta in parte, rezulta relatiile:
(4)
Introducand apoi in (3):
(5)
se gaseste impedanta echivalenta :
(6)
Separand partile reale si imaginare, se obtine rezistenta echivalenta:
(7)
si reactanta echivalenta :
(8)
Relatia (6) se poate reprezenta in planul complex (fig. 3), de unde se vede usor ca exista inegalitatea intre module :
(9)
Inegalitatea devine egalitate numai in cazul particular cand φ1= φ2= φ3.
Din (4) si (6) se pot deduce relatiile :
(10)
care arata ca la conectarea in serie, tensiunile la bornele impedantelor se repartizeaza proportional cu impedantele respective.
2. Impedanta echivalenta a unei conexiuni paralel in absenta cuplajului inductiv (fig. 4)
Curentii prin cele trei impedante satisfac teorema intai a lui Kirchhoff:


(11)
Fig. 3 Fig. 4
Aplicand legea lui Ohm pentru fiecare impedanta in parte, deoarece tensiunea la bornele impedantelor este aceeasi, rezulta relatiile:
(12)
care introduse in (11) conduc la :
(13)
Rezulta, cu (1) si (2), impedanta echivalenta complexa :
(14)
respectiv admitanta echivalenta complexa :
(15)
Separand partea reala si cea imaginara din (15), rezulta conductanta echivalenta :
(16)
si susceptanta echivalenta :
(17)
Relatia (15) se poate reprezenta in planul complex al admitantei
(fig. 5), de unde se deduce imediat inegalitatea modulelor :
(18)
Ar exista egalitatea numai in cazul particular cand
![]()
Din (12) si (13) se poate deduce :
(19)
si la fel pentru I2 si I3.
3. Conexiune mixta a impedantelor necuplate inductiv (fig. 6)
Impedantele Z2 si Z3 sunt conectate in paralel, deci impedanta lor echivalenta va fi, conform relatiei (14):
(20)
Impedanta Z2,3 devine conectata in serie cu Z1, deci se obtine impedanta echivalenta a schemei (conform relatiei 6) :
(21)
Curentul I1 se calculeaza apoi cu relatia :
(22)
Facand analogia cu (19) se poate obtine pentru schema din figura 6 :
(23)
Relatia (23) este deosebit de importanta. Conform acestei relatii, curentul I3 nu depinde de valoarea impedantei Z3, daca este indeplinita conditia :
(24)
In acest caz relatia (23) devine :
(25)
Pentru a fi satisfacuta conditia (24) e necesar sa existe :
(26)
si
(27)
adica impedanta Z1 sa fie o bobina ideala si impedanta Z2 sa fie un condensator ideal sau invers, si in plus sa existe relatia :
(28)

care dupa cum se va vedea in
capitolul urmator reprezinta conditia de rezonanta.

Fig. 7 Fig. 8
Fata de cele aratate mai sus, se pot imagina doua scheme care se bucura de proprietatea ca debiteaza un curent constant I3 printr-o impedanta Z3, indiferent de valoarea acesteia din urma.
Schemele sunt date in figurile 7 si 8 si ele sunt cunoscute sub numele de montaje de tip Boucherot.
Curentul I3, debitat in cazul primei scheme, este conform relatiei (25):
(29)
iar in cazul celei de a doua schema este :
(30)
Deoarece
, relatiile (29) si (30) se pot scrie :
(31)
4. Impedanta echivalenta a circuitelor cuplate inductiv
4.1. Circuit serie cu cuplaj inductiv (fig. 9)
Cele doua bobine sunt caracterizate prin rezistentele proprii r1 si r2, inductivitatile proprii L1, L2 si inductivitatea de cuplaj M. Coeficientul de cuplaj este :
(32)
Aplicand legea lui Ohm, tensiunile la bornele bobinelor sunt date de relatiile :
(33)
(34)
Tensiunea la bornele
circuitului se obtine prin sumarea relatiilor (33) si (34) :
(35)
Fig. 9
Conform
relatiei (1), impedanta echivalenta este :
(36)
de unde, rezistenta echivalenta este :
(37)
iar inductivitatea echivalenta este :
(38)
Daca se schimba semnul cuplajului prin inversarea legaturilor la bornele unei singure bobine (M<0) inductivitatea echivalenta devine :
(39)
Se poate arata ca indiferent de semnul cuplajului, inductivitatea echivalenta este intotdeauna o marime pozitiva. Folosind inegalitatea :
(40)
se obtine :
![]()
iar cu (32), rezulta cu atat mai mult :
(41)
Scazand relatiile (38) si (39), se obtine :
(42)
Aceasta relatie arata ca se poate determina valoarea inductivitatii de cuplaj M, daca se masoara inductivitatile echivalente in cazul cuplarii aditionale si diferentiale a doua bobine.
4.2. Transferul de putere in circuite cuplate inductiv
Aplicand legea lui Ohm, circuitului din figura 10, se obtin relatiile:
(43)
(44)
Rezolvand sistemul, se
obtin valorile curentilor sub forma complexa :
(45)
(46)
Puterea complexa a primei ramuri se calculeaza cu relatia:
Fig. 10
(47)
Tinand cont ca
si notand
(48)
relatia (47) se scrie :
![]()
sau dezvoltand exponentiala, rezulta :
(49)
Partea reala a puterii aparente complexe este :
(50)
In mod similar se deduce si puterea activa consumata in a doua ramura a circuitului :
(51)
Relatiile (50) si (51) arata ca puterea pe o ramura a unui circuit cuplat nu se consuma numai pe rezistenta activa, ci exista un transfer de putere intre ramurile cuplate. Expresia puterii transferate este :
(52)
Dupa cum se poate
vedea, ea dispare de pe o ramura si se regaseste integral
in cealalta ramura. Puterea transferata e cu atat mai mare cu
cat unghiul de defazaj q intre cei doi curenti este mai
aproape de
.
5. Linia monofazata scurta in curent alternativ
Daca linia electrica de transport a energiei (fig. 11, a) care leaga generatorul de receptor este scurta, ea poate fi inlocuita cu o schema echivalenta R, L serie (fig. 11, b). Impedanta interioara a generatorului (Zi) este inclusa in impedanta echivalenta (Ze = Re+jXe).

Studiul liniei scurte se reduce deci la studiul unui circuit serie Ze, Z2, alimentat de
tensiunea electromotoare E.
In practica se
cunoaste tensiunea U2
si impedanta Z2
(deci si curentul 
Se pune problema de a gasi o relatie intre tensiunea electromotoare E a generatorului si tensiunea de la bornele receptorului U2.
Se numeste pierdere de tensiune diferenta valorilor efective :
(53)
Aceasta pierdere de tensiune poate fi uneori negativa (in cazuri rare), adica tensiunea la bornele receptorului este mai mare decat tensiunea la bornele generatorului.
Diferenta tensiunilor in complex :
(54)
se numeste cadere de tensiune pe linie.
Aplicand legea lui Ohm pentru schema echivalenta din figura 11. b, se obtine relatia :
(55)
Aceasta relatie corespunde reprezentarii fazoriale din figura 12, in care s-a ales drept origine de faza tensiunea U2, curentul I fiind defazat in urma acesteia cu unghiul j , dat de impedanta Z2.
Conform relatiilor (53) si (54), rezulta :
(56)

(57)
Din figura 12 se pot deduce imediat relatiile :
(58)
(59)
(60)
(61)
Tinand cont de expresiile puterilor active si reactive consumate de receptor, relatia (58) se mai poate scrie :
(62)
Pierderea de tensiune procentuala va fi :
(63)
In practica
aceasta pierdere de tensiune nu trebuie sa depaseasca
3
4 procente.
Observatie
Conform relatiei (62), pierderea de tensiune poate fi negativa (U2 > E daca exista inegalitatea :
![]()
sau
(64)
ceea ce se poate realiza pentru receptoare capacitive.
6. Condensatorul cu pierderi
Fig. 13
Un condensator ideal (fara pierderi) se
bucura de proprietatea ca energia activa consumata in
curent alternativ este nula, ceea ce inseamna ca curentul din
condensator este defazat cu 90 inaintea tensiunii
aplicate la borne. Un condensator real (cu pierderi) consuma energie
activa in curent alternativ (fapt atestat prin aceea ca un
condensator real conectat la o sursa de curent alternativ se
incalzeste dupa un timp), deci defazajul dintre tensiune si
curent este mai mic decat 90 . Diagrama
fazoriala a condensatorului cu pierderi este data in figura 13.
Diferenta de defazaj pana la 90 se numeste unghi de pierderi al condensatorului
si se noteaza cu d. Pierderile din
condensator se datoreaza pe de o parte imperfectiunii dielectricului
(exista 'scurgeri' de curent intre armaturi chiar la o
alimentare a condensatorului in curent continuu), iar pe de alta parte
proceselor de polarizare ciclica a dielectricului. Evident, un condensator
cu vid nu poate avea pierderi, el fiind deci un condensator ideal. De obicei,
in practica unghiul de pierderi in condensatoare este destul de mic, de
ordinul gradelor sau al minutelor (unghiul de pierderi depinde si de
frecventa la care lucreaza condensatorul).
Problemele care intereseaza in studiul condensatorului cu pierderi sunt legate atat de studiul pierderilor in dielectric, cat si de schemele echivalente ale condensatorului cu pierderi.
Curentul care circula prin condensator in regim nestationar este :
(65)
iar in regim sinusoidal, in complex este :
(66)
Avand in vedere relatiile,
(67)
unde S este suprafata inchisa care imbratiseaza
strans o armatura a condensatorului, iar (1) si (2) constituie
armaturile condensatorului, rezulta ca fazorii reprezentativi
pentru q si D sunt in faza (conform relatiei 66 sunt ortogonali
fata de fazorul curentului I
), de asemenea fazorii reprezentativi pentru u si E sunt in
faza.
In
figura 14 sunt reprezentati fazorii I,U,Q,Dm
si Em
(marimile D si E nu au simbolizarea valorilor
instantanee prin litere mici) din care se deduce ca intensitatea campului
electric E este in avans cu unghiul
de pierderi d fata de inductia electrica D. Din diagrama fazoriala rezulta scrierea in valori
instantanee a marimilor E
si D :
(68)
iar in complex :
(69)
Relatiile (68) reprezinta ecuatiile parametrice ale curbei D=f(E), curba care se obtine eliminand timpul din (68), adica :
(70)
Relatia (70) reprezinta ecuatia unei elipse, care este
reprezentata in figura 15.
Energia ce se pierde in unitatea de volum a dielectricului intr-o perioada a tensiunii alternative aplicate condensatorului (intr-un ciclu) este egala cu aria elipsei de pierderi si are expresia :
(71)
unde G este conturul elipsei.
Efectuand calculele in (71) cu (68), se obtine in final :
(72)
Din relatia (69) se poate defini in curent alternativ notiunea de permitivitate complexa a unui dielectric cu pierderi :
(73)
unde ea se numeste permitivitatea de
amplitudine (definita prin raportul amplitudinilor marimilor D si E :
; e' permitivitatea elastica ; e" permitivitate vascoasa sau
de atenuare.
Pierderile in dielectric sunt date numai de componenta e" a permitivitatii complexe. Intr-adevar expresia lui e" se poate pune sub forma :
(74)
care introdusa in (72) determina pierderile in dielectric in unitatea de volum si intr-un ciclu de variatie a tensiunii la borne :
(75)
ca fiind proportionale cu patratul amplitudinii campului (amplitudinii tensiunii) si cu permitivitatea vascoasa.
Schemele echivalente ale condensatorului cu pierderi pot fi deduse din diagrama fazoriala.
Daca se descompune curentul (fig. 13) in componentele I' si I', conform figurii 16, a si relatiei
I = I'+I", (76)
rezulta schema echivalenta tip paralel din figura 16, b,in care C1 si R1 sunt parametrii unor elemente ideale de circuit. Valorile parametrilor echivalenti C1 si R1 se pot determina scriind modulele curentilor I' si I' in diagrama fazoriala si in circuitul echivalent. Din diagrama rezulta :

I' = I cos d I" = I sin d (77)
iar din circuit rezulta :
(78)
Din (77) si (78) se obtin :
(79)
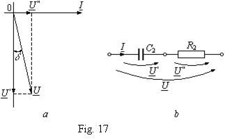
Considerand in figura 13 curentul ca origine de faza si descompunand tensiunea in componentele U' si U' (fig. 17, a), se obtine schema echivalenta tip serie din figura 17, b, conform relatiei :
U = U'+U", (80)
Valorile parametrilor ideali C2, R2 se pot determina scriind din diagrama fazoriala relatiile :
U' = U cos d si U" = U sin d (81)
iar in schema echivalenta relatiile :
(82)
Din (81) si (82) se deduc
(83)
Intre parametrii celor doua scheme echivalente exista relatiile :
(84)
Deoarece in practica unghiul de pierderi d este destul de mic (de ordinul gradelor), din (84) se observa ca C1 C , dar R1 >> R
In studiul circuitelor ce contin condensatoare cu pierderi se utilizeaza mai des schema echivalenta tip paralel (fig. 16).
7. Bobina cu pierderi
Bobina ideala (fara pierderi) se bucura de proprietatea ca nu consuma energie activa in curent alternativ, deci in diagrama fazoriala tensiunea la bornele bobinei este defazata cu 90 inaintea curentului care strabate bobina. Bobina reala (cu pierderi) consuma energie activa in curent alternativ, deci unghiul de defazaj j intre tensiune si curent este mai mic decat 90 . Complementul acestui unghi se numeste unghi de pierderi al bobinei dFe dFe j
Pierderile in bobinele reale sunt mult mai mari decat in condensatoarele reale. Ele se datoreaza mai multor cauze: pierderi prin histerezis (in cazul materialelor feromagnetice), pierderi datorita proceselor de magnetizare ciclica a miezului. Evident, o bobina fara miez magnetic (in vid) si cu o infasurare supraconductoare este o bobina ideala.
Daca se considera o bobina avand rezistenta infasurarii neglijabila (deci se iau in consideratie numai pierderile din miez), tensiunea la borne se scrie :
(85)
unde N este numarul de spire al infasurarii, iar F este fluxul magnetic din miez. In regim sinusoidal, in complex, (85) se scrie :
(86)
Avand in vedere relatiile
(87)
in care S reprezinta sectiunea miezului, iar G este lungimea circuitului magnetic, rezulta ca perechile de fazori F, Bm si respectiv I si Hm sunt sinfazici.
In figura 18 sunt reprezentati fazorii U, I, Hm, Bm si F, punandu-se in evidenta atat defazajul j intre tensiune si curent, cat si unghiul de pierderi in miez al bobinei, dFe
Din diagrama fazoriala rezulta scrierea in valori instantanee a marimilor B si H :

(88)
iar in complex :
(89)
Relatiile (88) reprezinta ecuatiile parametrice ale curbei B = f(H), curba care se obtine eliminand timpul din (88). Rezulta :
(90)
adica ecuatia unei elipse, reprezentata in figura 1 Energia care se pierde in unitatea de volum a miezului, in timpul unui ciclu de variatie a tensiunii aplicate la bornele bobinei, reprezinta aria elipsei de pierderi si este :
(91)
unde G este conturul elipsei. Efectuand calculele in (91), cu (88), se obtine in final :
(92)
Din relatiile (89) se defineste in curent alternativ notiunea de permeabilitate complexa a miezului :
(93)
unde ma se numeste permeabilitate de
amplitudine (data de raportul amplitudinilor marimilor B si H :
; m' permeabilitate elastica,
iar m" permeabilitate vascoasa.
Pierderile in miez sunt
date numai de permeabilitatea vascoasa m". Intr-adevar, permeabilitatea vascoasa fiind
, rezulta ca (92) se poate scrie :
(94)
Schemele echivalente ale bobinei cu pierderi se pot stabili din diagrama fazoriala. Se considera mai intai curentul I ca origine de faza si se descompune tensiunea U in componentele U' si U' (fig. 20, a), care satisfac relatia :
U = U'+U". (95)
Relatiei (95) ii corespunde schema echivalenta serie cu elementele ideale L1 si R1 (fig. 20, b). Din diagrama fazoriala rezulta relatiile :
U' = U cos dFe si U" = U sin dFe (96)
iar din circuitul echivalent :
U wL I si U"=R1I. (97)
Din (97) si (96) se obtin valorile parametrilor echivalenti :
(98)

Procedand in mod analog, considerand tensiunea U ca origine de faza (fig. 21, a) se obtine schema echivalenta paralel (fig. 21, b), in care parametrii echivalenti au valorile :
(99)

Intre parametrii celor doua scheme echivalente se pot stabili relatiile :
(100)
In practica se obisnuieste a se lucra mai mult cu schema echivalenta tip serie a bobinei cu pierderi (fig. 20).
Copyright © 2026 - Toate drepturile rezervate