![]() | Aeronautica | Comunicatii | Constructii | Electronica | Navigatie | Pompieri |
| Tehnica mecanica |
Semnale modulate in amplitudine pe purtator armonic
Daca doua semnale de frecvente diferite se aplica la intrarea unui dispozitiv electronic neliniar,vor aparea doua fenomene distincte, anume translatia si mixarea.
Oscilatiile care se aplica la intrarea unui etaj modulator sunt: mesajul care reprezinta semnalul modulator de forma um=Um sin ωmt sau um=Um cos ωmt, iar al doilea semnal este oscilatia purtatoare de inalta frecventa de forma up=Up sin ωpt sau up=Up cos ωpt
um=Um
sin ωmt u=UP (1+m
sin ωmt) sin ωpt
mesajul MODULATORUL semnal de iesire
up=Up sin ωpt
purtatoarea
Se poate observa ca amplitudinea semnalului se modifica cu sinusul mesajului unde :
m=(Umax-Umin)/(Umax+Umin) si se numeste grad de modulatie.
Descompunerea semnalului modulat:
uMA=Up(1+m sin ωmt) sin ωpt
uMA=Up sin ωpt +Up m sin ωmt sin ωpt=Up sin ωpt +m Up sin(ωp+ωm)t/2 + m Up sin(ωp-ωm)t/2
Primul termen al descompunerii reprezinta componenta cu frecventa purtatoare fp si amplitudine Up, al doilea termen este componenta cu frecventa fp-fm si are amplitudinea mUp/2 ce formeaza banda laterala inferioara iar cel de-al treilea este componenta cu frecventa fp+fm si are amplitudinea mUp/2 ce formeaza banda laterala superioara.
1 Modulatia in amplitudine cu purtatoare si doua benzi laterale
Acest tip de modulatie se
utilizeaza in radiodifuziunea clasica pe unde lungi, medii si
scurte. 
Fig. 2Modulatia in amplitudine
Se face ipoteza ca semnalul modulator este format dintr-o componenta continua, de valoare unitara, si componenta variabila (variatia purtatoare de informatie); aceasta se admite la inceput in varianta cea mai simpla: o cosinusoida de pulsatie ω0 , faza initiala nenula si amplitudine m, subunitara.
Deci semnalul modulator este de forma 1+m*cos(ω0t). In acest caz, semnalul modulat este dat de produsul semnalului purtator cu semnalul modulator, adica:
xMA(t)=Apφ(1+m*cos(ω0t))*cos(ωpt) in care m=A/Ap se numeste grad de modulatie.
Formele semnalelor x(t) ,xp(t) si xMA(t) sunt ilustrate in figura 2. Utilizand notatiile din aceasta figura, gradul de modulatie se determina cu relatia:
![]()
Teoretic, m apartine intervalului [0; 1]. In telefonie, m apartine intervalului [0.5; 0.6].
Se pune problema sa determinam spectrul semnalului modulator . Aceasta relatie se transforma succesiv:

Spectrele semnalelor x(t) si xp(t) constau din cate o singura armonica, la frecventele ω0 si, respectiv, ωp (ωp >>ω0 ). Spectrul semnalului modulat contine 3 componente: purtatoarea de amplitudine Ap si doua componente laterale, la frecventele ωp ±ω0 , cu amplitudinile egale cu mAp/ 2 .

Fig. 3 Spectrul semnalelor x(t) , xp( t) x t si xMA( t)
Semnalul util este continut in cele doua componente laterale (in exces, pentru ca ar fi suficienta o singura componenta laterala). Deci modulatia nu este economica, in sensul ca ocupa o banda de frecventa dubla fata de cea necesara. Purtatoarea este mult mai mare decat componentele laterale, rezultand unele dezavantaje, precum saturatia amplificatoarelor si performante energetice slabe ale modulatiei.
1.1 Randamentul modulatiei
Definim randamentul modulatiei ca fiind raportul dintre puterea dezvoltata de componentele laterale (utile) din spectru, Pu , si puterea semnalului modulat, PMA :
![]()
Considerand ca semnalele x(t) si xp(t) au amplitudinile A si Ap (m=A/ Ap ), iar semnalul modulat este obtinut pe o rezistenta R, avem:

Avand in vedere valorile uzuale ale gradului de modulatie, rezulta ca randamentul modulatiei este redus.
1.2 Reprezentarea fazoriala a semnalului modulat
Cele trei componente din expresia semnalului modulat se reprezinta ca vectori rotitori de lungime Ap si, respectiv, mAp/ 2 . Ei au vitezele unghiulare ωp si, respectiv, ωp +ω 0 si ω p −ω 0 . Insumarea celor trei vectori se face plasand in varful vectorului aferent purtatoarei cele douǎ componente laterale de modulatie, care se rotesc cu vitezele +ω0 , si respectiv −ω0 , in raport cu vectorul purtatoarei (acesta se roteste cu viteza ωp ). Insumarea vectoriala a celor trei vectori conduce la un vector cu lungime periodic variabila (de perioada ω0 ), care se roteste in jurul referintei O cu viteza unghiulara ω p .

Fig. 4 Reprezentarea fazoriala a semnalului modulat
Consideram acum ca semnalul util x(t) din componenta semnalului modulator este periodic nesinusoidal. In acest caz, semnalul x(t) se poate reprezenta prin seria Fourier armonica, cu urmatoarea expresie:
![]()
Am presupus ca A0 = 0 (intrucat componenta continua se aditioneaza separat). In acest caz, expresia semnalului modulat in amplitudine este:
![]()
unde mi=Ai/Ap este gradul de modulatie aferent armonicii i. Se observa ca fiecare armonica realizeaza modulatia purtatorului cu un grad de modulatie mi proportional cu amplitudinea Ai a armonicii (mi~Ai). Deci gradele de modulatie sunt mai mari sau mai mici, dupa cum amplitudinile armonicilor sunt mai mari sau mai mici.
Relatia de mai sus se pune sub forma:

Spectrele semnalelor x(t) si xMA(t) sunt reprezentate in figura 5
.
Fig. 5 Spectrul semnalelor x(t) si xMA(t)
In spectrul semnalului xMA(t) exista purtatoarea si doua benzi laterale.
Fiecare banda laterala are spectrul identic cu spectrul amplitudinilor semnalului de baza, numai ca scara este redusa cu coeficientul 1/ 2.
Consideram in continuare cazul general, cand semnalul modulator este oarecare, avand expresia :
xMA(t)=Ap*[1+mφx(t)]*cos(ωpt)
,unde
si ![]()
Ne propunem determinarea unei reprezentari spectrale a semnalului modulat. In acest scop, se pleaca de la reprezentarea spectrala a semnalului de baza, x(t), care este functia spectrala X(ω). Aceasta furnizeaza densitatea de armonici, si nu armonicile.
Caracteristica spectrala a semnalului modulat in amplitudine se determina aplicand transformata Fourier in relatia de mai sus:

Inlocuind
in relatiile
de mai sus, rezulta:

Convolutia unei functii cu distributia δ este functia avand argumentul distributiei δ . Deci:


Fig. 6 Caracteristicile spectrale ale semnalelor x(t) , si x MA(t)
In consecinta, relatia devine:

Caracteristicile spectrale ale semnalelor x(t) si xMA(t) sunt date in figura 6. Aici se observa componentele caracteristicii spectrale ale semnalului modulat: purtatoarea (distributia π Apδ (ω ±ω p ) ) si cele doua benzi laterale.
Observatie:
Reprezentarea grafica a caracteristicii X(ω) este simbolica si nu are legatura cu densitatea de amplitudini reala a semnalului. Simbolizarea permite sa se discearna banda semnalului si frecventele maxima si minima ce definesc banda.
In concluzie, din cele prezentate rezulta ca modulatia examinata are doua dezavantaje:
. Banda ocupata de semnalul modulat este dubla fata de cea minim necesara. De exemplu, banda semnalului telefonic este cuprinsa intre 0.3 kHz si 3.4 kHz. Daca s-ar utiliza modulatia prezentata, largimea benzii semnalului modulat, in jurul frecventei purtatoare, ar fi de 6.8 kHz.
. In semnalul modulat se regaseste integral purtatoarea, rezultand unele neajunsuri de natura energetica (randament scazut) si de prelucrare a semnalului (posibilitatea saturarii amplificatoarelor, datorita nivelului ridicat al purtatoarei, in raport cu componentele laterale - utile).
In schimb, extragerea semnalului de baza din cel modulat se realizeaza foarte simplu, printr-o operatie de detectie/redresare.
2 Modulatia in amplitudine de tip produs
Modulatia
de tip produs elimina cel de-al doilea dezavantaj din cele mentionate
in sectiunea anterioara. Modelul matematic este detaliat mai jos.
Fig. 7 Modulator de tip produs
Fig. 8 Modulatia de tip produs a unui semnal ;Forma semnalului modulat
Fie x(t) semnalul modulator. Presupunem ca acesta moduleaza un purtator cosinusoidal cu amplitudinea Ap. Semnalul modulat este:
xMA(t)=x(t)*cos(ωpt)
Atunci cand semnalul modulator x(t) isi schimba semnul, in momentul t0 , semnalul modulat in amplitudine cu modulatie de tip produs isi inverseaza faza.
2.1 Reprezentarea spectrala a semnalelor cu modulatie de tip produs
Se calculeaza transformata Fourier a semnalului xMA(t).
Din xMA(t)=x(t)*cos(ωpt) rezulta:


Fig. 9 Spectrul semnalului MA cu modulatie de tip produs
![]()
Caracteristica spectrala XMA(ω) este ilustrata in figura de mai sus. Se observa absenta purtatoarei, insa ramane dezavantajul ca banda semnalului modulat este dubla fata de cea minima necesara.
3 Modulatia in amplitudine cu banda laterala unica (BLU)
In modulatia de tip produs, analizata in sectiunea anterioara, banda ocupata de semnalul modulat este dubla fata de cea minima necesara. Pentru a mari capacitatea de transmisie a unui canal fizic, este util sa se utilizeze o modulatie care furnizeaza o singura banda din cele 2 benzi rezultate in modulatia de tip produs: fie banda superioara (in raport cu pulsatia ωp ), fie banda inferioara. O asemenea modulatie se numeste cu banda laterala unica (BLU).
O solutie aparent simpla de obtinere a unui semnal MA-BLU consta in selectarea, cu ajutorul unui filtru trece-banda (FTB), a uneia din benzile laterale obtinute cu un modulator de tip produs. Aceasta solutie are un dezavantaj important in transmisiunile telefonice, unde banda semnalului de baza este in domeniul 0.3 − 3.4 kHz : ecartul intre limita inferioara a benzii laterale superioare si limita superioara a benzii laterale inferioare este foarte mic, de 0.3 + 0.3 = 0.6kHz , in jurul frecventei purtatoare fp . Rezulta ca FTB trebuie sa aiba o foarte buna selectivitate, astfel incat sa suprime banda inferioara fara a afecta zonele adiacente din banda laterala superioara.
Pentru evitarea utilizarii FTB de inalta selectivitate sunt elaborate doua solutii, care vor fi prezentate in cele ce urmeaza: metoda semnalului analitic (bazata pe transformata Hilbert) si metoda Weaver.
3.1 Modulatia BLU utilizand transformata Hilbert(metoda semnalului analitic)
In schema de principiu care ilustreaza aceasta metoda exista doua modulatoare de tip produs din figura 10. Primul moduleaza un semnal cosinusoidal, semnalul modulator fiind x(t). La cel de-al doilea modulator, intrarea este transformata Hilbert a lui x(t), purtatorul fiind sinusoidal.

Fig. 10 Modulatia BLU - metoda semnalului analytic
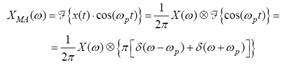
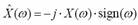
Caracteristica spectrala a
semnalului la iesirea filtrului Hilbert este relatia
, de unde
rezulta:![]()
In figura 11 sunt reprezentate
schematic functiile spectrale X (ω ) si
Se
observa ca, pentru ω > 0 ,
iar pentru ω
< 0
.

Fig.
11 Caracteristicile spectrale ale
semnalelor X (ω ) si ![]()
La iesirea primului
modulator de tip produs se obtine semnalul xMA(t)=x(t)*cos(ωpt)
La iesirea celui de-al doilea modulator se obtine semnalul
, pentru care vom
determina caracteristica spectrala:![]()
Utilizand expresia pentru
F se obtine:
din care rezulta:![]()
Aceasta functie
spectrala, are doua componente: cea situata in jurul
pulsatiei ωp ,
,
obtinuta prin inversarea semnului si decalarea la dreapta a
caracteristicii
si cea
situata in jurul pulsatiei −ωp ,
,
obtinuta prin deplasarea spre stanga a caracteristicii spectrale
Se observa ca, daca se scad
functiile XMA(ω) si
(la elementul de insumare, semnele sunt , + '
si respectiv , − '), se obtine XMA−BLU(ω ) , fiind
suprimata banda laterala inferioara. Daca se aduna XMA(ω)
si
(elementul de insumare din schema, are
semnul , + ' la ambele intrari), se obtine XMA−BLU(ω), cu
banda superioara suprimata.
3.2 Modulatia BLU utilizand metoda Weaver
In modulatorul Weaver exista doua ramuri, fiecare ramura realizand cate doua modulatii consecutive. Prima ramura utilizeaza semnale purtatoare cosinusoidale, iar in a doua ramura semnalele purtatoare sunt sinusoidale.

Fig. 12 Modulatia BLU - metoda Weaver
Frecventa purtatoare la primele modulatii de tip produs din cele 2 ramuri este notata cu Ω si are o valoare mica, situata in zona mediana a benzii semnalului modulator. In figura 13 este ilustrata prelucrarea semnalelor in primul etaj al ramurii superioare. Se observa ca functia spectrala X1cos(ω), de forma:
este
deplasata simetric in jurul pulsatiilor Ω si −Ω
. Cu ajutorul FTJ se suprima componentele spectrale avand
si se
obtine caracteristica spectrala a semnalului x1c(t),
adica X1c(ω).

Fig.13 Obtinerea caracteristicii spectrale a semnalului x1c (t)
Modelul frecvential al prelucrarii semnalelor in primul etaj al ramurii inferioare este prezentat in figura 14.

Fig. 14 Obtinerea caracteristicii spectrale a semnalului x2s (t)
Mai intai se determina caracteristica spectrala a semnalului x2sin(t)=x(t)*sin(Ωt) :
![]()
Din care rezultǎ:![]()
Caracteristica
spectrala jX2sin(ω) se obtine prin simpla deplasare
spre dreapta a caracteristicii X (ω) , in jurul pulsatiei +Ω ,
cat si prin inversarea semnului caracteristicii X (ω) si
deplasarea ei spre stanga in jurul pulsatiei −Ω . Prin
eliminarea componentelor spectrale de frecvente
, cu ajutorul FTJ, se obtine
caracteristica spectrala jX2s(ω.
Fig. 15 Obtinerea caracteristicii spectrale a semnalului x MA-BLU ( t)
In cel de-al doilea etaj al ramurii superioare, semnalul x1c(t) este modulat cu purtatorul cosinusoidal cos(ωpt) , unde ω p este mult mai mare decat pulsatia maxima din spectrul semnalului modulator. La iesirea modulatorului se obtine semnalul x1(t) , a carui caracteristica spectrala este:
![]()
Sau
![]()
In reprezentarea grafica, cele doua componente ale functiei X1(ω) se obtin prin deplasarea simetrica, in jurul pulsatiilor ω p si −ω p a caracteristicii spectrale X1c(ω) .
In ramura inferioara, semnalul x2s(t) este modulat pe purtatorul sinusoidal sin(ωpt) . La iesirea modulatorului se obtine semnalul x2(t)=x2s(t)*sin(ωpt) , a carui caracteristica spectrala este:

Caracteristica X2(ω), se obtine pe baza functiei jX2s(ω prin inversarea semnului acestei functii si deplasarea ei in jurul pulsatiei ω p , precum si prin simpla deplasare a ei spre stanga, in jurul pulsatiei −ω p .
Daca in elementul de insumare , ambele intrari au semnul , + ' ( xMA-BLU (t) =x1(t) +x2(t) ), atunci XMA-BLU(ω)=X1(ω)+ X2(ω) si semnalul modulat de la iesirea modulatorului contine banda laterala superioara. Daca semnalele x1(t) si x2(t) se scad, semnalul modulat va contine banda laterala.
3.3 Principiul multiplexarii in frecventa
Multiplexarea semnalelor presupune transmiterea mai multor semnale pe acelasi canal fizic, fara ca semnalele sa interfereze. Multiplexarea in frecventa se realizeaza prin modularea semnalelor respective.Frecventele purtatoare utilizate la modulatoare, distincte la fiecare modulator, se aleg in asa fel incat densitatile spectrale ale semnalelor modulate sa nu se suprapuna si - in plus - sa aiba intre ele un ecart in frecventa suficient pentru a selecta (separa) fiecare canal prin intermediul filtrelor.
Principiul multiplexarii in frecventa este ilustrat in figura 16. Aici s-au considerat 3 semnale diferite, xA(t) , xB(t) si xC(t) , ale caror caracteristici spectrale, schematizate in figura 16, sunt X A(ω), X B(ω) si X C(ω).
Cele 3 semnale se aplica
modulatoarelor de tip produs, care lucreaza cu semnale purtatoare
avand pulsatiile ω p1 , respectiv ω
p2 si ω p3
. Asa cum se remarca din figura, prin alegerea frecventelor
purtatoare, caracteristicile spectrale ale semnalelor modulate, X A(ω),
X B(ω) si X C(ω) ocupa
zone distincte pe axa frecventelor, fiind transmise pe canalul fizic. La
receptie, presupunand ca a fost compensata atenuarea canalului,
se utilizeaza filter trece-banda (FTB) care
selecteaza/separa canalele: la iesirea FTBA se
obtine X A(ω), iar FTBB si
FTBC vor furniza X B (ω ) , respectiv X
C (ω ) . Utilizand demodulatoare de tip produs, formate
dintr-un circuit de inmultire si un FTJ , se obtin in final semnalele ![]()

Fig. 16 Principiul multiplexarii in frecventa
In schema data in figura 16 s-a utilizat modulatia de tip produs, in care un semnal modulat ocupa o banda dubla fata de cea minim necesara. Astfel, in cazul unui semnal telefonic, unde banda este limitata in domeniul 0.3 − 3.4 kHz , banda semnalului modulat este de 2× 3.4 = 6.8 kHz , iar frecventele purtatoare adiacente trebuie sa fie "distantate" la 8 kHz , pentru a se asigura si ecartul necesar separarii cailor prin FTB. Daca insa se utilizeaza MA-BLU, atunci banda semnalului se reduce la jumatate, frecventele purtatoare adiacente sunt decalate cu 4 kHz, iar numarul de semnale multiplexate in frecventa, transmise pe canalul fizic, se dubleaza .

Fig.17 Multiplexarea in frecventa utilizand MA-BLU
Copyright © 2026 - Toate drepturile rezervate