Home - Rasfoiesc.com
Educatie Sanatate Inginerie Business Familie Hobby Legal
Idei bun pentru succesul afacerii tale.producerea de hrana, vegetala si animala, fibre, cultivarea plantelor, cresterea animalelor




Biologie Chimie Didactica Fizica Geografie Informatica
Istorie Literatura Matematica Psihologie

Statistica


Index » educatie » » matematica » Statistica
» Indicatori statistici


Indicatori statistici


1.     Populatie statistica = multime de elemente care au una sau mai multe insusiri comune si care fac obiectul unei cercetari statistice.

  • Populatii statistice:

-multime de persoane umane

populatii de grupuri socioumane

populatii de evenimente

populatii de masuratori

  • Individ statistic = element al unei populatii statistice

individ uman



colectivitate umana

eveniment

masuratoare

  • Date statistice = informatiile sunt culese dupa o scala stabilita

a)     Date Alfanumerice – permit inregistrarea de litere si numere amestecate

b)     Date Numerice – inregistreaza rezultate cantitative prin numere intregi sau zecimale. Sunt utilizate in masuratori antropometrice sau analize de laborator.

c)     Date Logice – se folosesc cand avem exact doua optiuni sau clase

  • Scala nominala

indivizii sunt impartiti in cateva clase:

a)     Eshaustive

b)     Mutual exclusive

c)     Au nume simbolic

d)     Contin indivizi echivalenti

e)     Nu pot fi ordonate

  • Scala ordinala

indivizii sunt impartiti in aceleasi clase dar pot fi ordonate crescator sau descrescator

2.     Probabilitati = raportul dintre numarul cazurilor favorabile evenimentului si numarul total de cazuri egal probabile.

3.     Tabele de incidenta = tabele cu dubla intrare care contin date nominale, ordinale sau logice pe care le clasificam in cruce. Tabele 2X2.

numerele din casutele a si d = potriviri

numerele din casutele b si c = nepotriviri

  • cand predomina potrivirile avem tendinta de dependenta
  • cand potrivirile si nepotrivirile sunt egale nu avem tendinta de dependenta

Criterii de aprecire a dependentei:

a) Raportul sanselorOR = axd/bxc

cu cat OR > 1 sau < 1 cu atat dependenta este mai puternica

cu cat OR este mai apropiat de 1 dependenta este mai slaba sau absenta

b) Criteriul procentual = raportul potrivirilor fata de total

CP = a+d/a+b+c+d

cu cat CP este mai apropiat de 50% cu atat dependenta este mai slaba

daca CP are valori mult mai mari sau mai mici de 50% exista dependenta

c) Criteriul diagonal CD = raportul dintre potriviri si nepotriviri

CD = a+d/b+c

d) Riscul relativ RR = (a*(c+d))/(c*(a+b))

indica aceesi tendinta de dependenta daca are valori mult indepartate de 1


Indicatori statistici

1.     Media = raportul dintre suma valorilor seriei si numarul lor

2.     Dispersia = un indicator al gradului de imprastiere al seriei

 

la medii aproximativ egale, este mai imprastiata seria cu dispersia mai mare

la dispersii aproximativ egale, este mai imprastiata seria cu media mai mica

3.     Abaterea standard = radicalul dispersiei

la medii aproximativ egale, este mai imprastiata seria cu deviatia standard mai mare

la deviatii standard aproximativ egale, este mai imprastiata seria cu media mai mica

4.     Coeficient de variatie

la medii apropiate de 0 isi pierde din fidelitate


HISTOGRAMA

Graficul histograma este echivalentul grafic al tabelului de frecvente absolute

Vom reprezenta prin bare verticale fiecare clasa

bara are o inaltime proportionla cu frecventa absoluta

Fiecare bara (clasa) are aceeasi latime

Inaltimea barelor este proportionala cu frecventele absolute (numarul de indivizi din clasa)

Se observa ca datele sunt distribuite asimetric

Distributie simetrica, cu usoare iregularitati datorate faptului ca a fost aleasa o lungime a claselor prea mica



Histograma este dependenta de factori aleatori, daca se mai adauga un numar de pacienti, aspectul ei se schimba mai mult sau mai putin

Aspectul ei depinde si de lungimea claselor care trebuie aleasa cu grija

In continuare veti vedea 11 imagini care arata evolutia unei histograme de la doar 25 pacienti, pana la numarul total de 739 pacienti

Trebuie observat totusi ca exista un moment de la care histograma se stabilizeaza


Cea mai importanta decizie in constructia unei histograme este alegerea lungimii unei clase

Se imparte amplitudinea absoluta la numarul de clase (bare) dorit:

Lungimea = (Max – Min)/numar clase

Numarul de clase este 8-10-12 pentru esantioane de zeci de indivizi si 15-20 pentru esantioane de sute de indivizi


Putem construi histograme din ce in ce mai fine pana cand vor avea aspectul asemanator cu o curba.

S-a vazut ca, de la un punct incolo, histograma se stabilizeaza, nu isi mai schimba semnificativ aspectul prin adaugarea de noi date.


Numarul de bare tinde sa devina infinit

Lungimea unei clase tinde la 0

Histograma se stabilizeaza

Aspectul este tot mai asemanator cu cel al unei curbe


Poligonul frecventelor


Este graficul care reprezinta printr-o linie franta frecventele claselor.

Se poate obtine din histograma prin unirea mijloacelor laturilor superioare ale barelor

De fapt, poligonul frecventelor arata mai clar procesul de NETEZIRE odata cu cresterea nelimitata a numarului de date

Poligonul frecventelor contine exact aceeasi cantitate de informatie ca si histograma

Cu fiecare poligon, lungimea claselor scade.

In final aspectul este al unei curbe usor neregulate. Neregularitatile se datoreaza faptului ca numarul de valori este finit

Curba catre care tinde poligonul frecventelor se numeste curba densitatii de probabilitate

Ea este o idealizare a repartitiei reale

Unul din cazurile cele mai importante este acela cand densitatea ideala este asa numita repartitie Gauss sau Normala


m este media, iar s este abaterea standard.

m si s determina complet curba

Curba Gauss este una din cele mai importante dintre curbele de densitate a probabilitatii

Intervine in modelarea multor fenomene, in toate stiintele

Este simetrica fata de medie

Are un maxim in dreptul mediei

Este descescatoare la stanga si la drepta mediei

Tinde la 0 cand ne indreptam spre + si – infinit

Mai multe populatii pot avea densitati de probabilitate cu medii diferite dar cu aceeasi abatere standard

Mai multe populatii pot avea densitati de probabilitate cu medii egale dar cu  abateri standard diferite




Cele trei tipuri fundamentale de repartitii

Curba Gauss este intre tipurile de repartitii cu distributie simetrica

Nu orice distributie simetrica a datelor arata neaparat o distributie Gauss

Orice parametru masuram, cunoasterea densitatii de probabilitate ne permite sa gasim probabilitatea ca el sa se afle intre limite date

Aceasta proprietate este valabila nu numai pentru densitatea Gauss ci pentru orice densitate



Esantionare

Vom deduce proprietati valabile intr-o populatie pe baza studierii unui esantion

Nu este posibila de obicei, studierea fiecarui individ al unei populatii

Concluziile rezultate in urma studierii unui esantion sunt valabile la nivelul intregii populatii

Totusi, nu orice esantion poate sa ne ajute in astfel de generalizare


Definitie

Vom numi esantion, o parte a unei populatii statistice, pe care il studiem in vederea validarii unor ipoteze referitoare la intreaga populatie din care face parte


Conditii de esantionare

Volumul = numarul de indivizi, este un compromis intre considerente economice(sa fie cat mai mic) si necesitatea preciziei (sa fie cat mai mare)

Reprezentativitatea = cerinta ca esantionul sa respecte structura fundamentala a populatiei referitoare la sex, grupe de varsta, rasa, ocupatie, nivel de cultura, etc.

Aleatorizarea = alegerea indivizilor din esantion avand ca singur criteriu intamplarea.

Independenta masuratorilor = valorile masurate la indivizii din esantion sa nu aiba legatura intre ele.


Parametrii de esantionare

Masuratorile facute pe esantioane sunt totusi supuse unor factori aleatori, ceea ce face ca toti indicatorii calculati (medie, dispersie, mediana, risc relativ, etc) sa fie doar aproximari ale realitatii

Dorim sa stabilim in ce limite de precizie ne situam atunci cand aproximam adevaratele valori ale mediilor, dispersiilor, medianei, etc.

1. Distributia mediei de esantionare de pe un esantion extras dintr-o populatie Gauss

este distribuita tot Gauss

media mediilor de esantionare este cea din care provine esantionul

abaterea standard a mediei de esantionare scade odata cu cresterea volumului

2. Media de esantionare pe un esantion extras dintr-o populatie asimetric distribuita are urmatoarele propprietati:

se distribuie din ce in ce mai simetric pe masura ce volumul creste

media mediilor de esantionare este cea a populatiilor initiale

deviatia standard a mediilor de esantionare scade cu cresterea volumului.


Interval de incredere

- Vom numi interval de incredere, de precizie (100 - a)% un interval de numere reale in care suntem aproape siguri ca se afla media reala.(precizia este data de valoarea lui a


= pragul de semnificatie 100-a = parametrul student

Prametrul t depinde de precizia (100-a) si de n-1= numarul de grade de semnificatie, n=numarul de indivizi si anume:

pentru n mic curba de erori este aplatizata si pragul t are valori mari.

pentru n mare curba de erori este stransa si t are valori mici.

Intervalul de normalitate pentru un parametru intr-o populatie distribuita Gauss este intervalul cuprins intre (m-2s, m+2s)


Testul t al lui student de comparare a mediei teoretice cu media de esantionare

  

- daca tc >   atunci diferenta este semnificativa, adica media de esantionare difera semnificativ de cea teroretica, adica nu sunt compatibile

- daca tc<    diferenta este nesemnificativa



Testul Statistic este o metoda de decizie care ne ajuta la validarea sau invalidarea cu un anumit grad de siguranta a unei ipoteze statistice.

- Studiind datele pe care le avem la dispozitie putem observa regularitati sau tendinte despre care dorim sa verificam daca sunt adevarate

- Atunci putem emite o ipoteza statistica pe care dorim sa o verificam

Intr-un calcul statistic, numarul de grade de liberatate este egal cu numarul de masuratori (valori) independente pe care le avem la dispozitie

- Daca avem n valori masurate la n indivizi, sunt n grade de liberatate

- Totusi, in calculul lui tc se iau n-1 grade de libertate caci, cunoasterea mediei de esantionare este o constrangere care face ca nu toate cele n valori sa fie independente.Una din ele depinde de celelalte, daca cunoastem media

Distributia Student

- Este o distributie simetrica cu media 0

- Are un maxim in 0

- Aria de sub curba este 1

- Abaterea standard (si forma curbei) depinde de numarul de grade de libertate

- Cu cat numarul de grade de libertate este mai mare, cu atat abaterea standard este mai mica

- Pentru df foarte mare, tinde la distributia Gauss de medie 0 si abatere standard 1

- Cand valoarea calculata a lui t intrece valoarea teoretica aleasa de noi din tabele, este aproape imposibil ca valoarea respectiva sa provina dintr-o distributie Student cu numarul respectiv de grade de libertate

Testul Z

- Atunci cand media si abaterea standard pentru populatia din care a fost extras un esantion sunt cunoscute (caz mai rar), testarea mediei de esantionare inseamna verificarea faptului daca este sau nu compatibila cu valorile teoretice

- Se verifica de fapt daca datele experimentale concorda sau nu cu cele teoretice


- O populatie este distribuita Gauss cu media m si abaterea standard s.

- Un esantion de volum n are media de esantionaresi abaterea standard de esantionare

- Ipoteza: media de esantionare este compatibila cu media teoretica

- Adica: datele furnizate de esantion suporta ipoteza ca media teoretica este m

- In acest caz,valoarea



are o distributie Gauss (normala),cu media 0 si abaterea standard 1

Deci, se va lua decizia:

- Daca zc>1,96 diferenta dintre media de esantionare si cea teoretica este semnificativa

- Daca zc<1,96 diferenta dintre media de esantionare si cea teoretica este nesemnificativa

Avem o serie statistica: X: x1,x2,.xn

Se calculeaza media de esantionare

Se calculeaza abaterea standard de esantionare




Se calculeaza zc:



Daca zc>1,96 diferenta dintre media de esantionare si cea teoretica este semnificativa

Daca zc<1,96 diferenta dintre media de esantionare si cea teoretica este nesemnificativa

z se numeste distributia normala standard (adica de medie 0 si abatere standard 1) si este tabelata

Compararea unei medii de esantionare cu o medie teoretica atunci cand nu cunoastem deviatia standard teoretica (testul t al lui Student prezentat ca metoda de decizie)

Compararea unei medii de esantionare cu o medie teoretica atunci cand cunoastem deviatia standard teoretica (testul z prezentat ca metoda de decizie)


Teste clasice

- Din considerente istorice, este inca in uz un mod de lucru incetatenit.

- Ipoteza care se testeaza cu ajutorul testului o vom numi ipoteza nula.

- Ea este totdeauna testata impotriva a uneia sau mai multor ipoteze alternative.

- Testul statistic este privit ca o metoda care decide daca se respinge sau nu ipoteza nula.

Conventie

- Ipoteza ca mediile populatiilor din care provin esantionaele sunt egale o vom numi ipoteza de nul (notata totdeauna cu H0)

- Ipoteza, sau ipotezele care epuizeaza restul posibilitatilor le vom numi ipoteze alternative (notate totdeauna cu H1, H2, etc

H0 : m1 = m2

H1 : m1 m2

- Daca testul respinge H0, vom spune ca datele suporta ipoteza ca mediile populatiilor sunt diferite

- Daca testul nu respinge H0, vom spune ca  datele nu indreptatesc ipoteza ca mediile populatiilor sunt diferite

H0 : m1 = m2 (ipoteza de nul)

H1 : m1 < m2  (ipoteza alternativa 1)

H2 : m1 > m2 (ipoteza alternativa 2)

Daca testul respinge H0, ramane de verificat care dintre ipotezele alternative tebuie acceptata


Testul t Clasic

Testul de comparare a doua medii cand abaterile standard sunt egale (cazul esantioanelor mici)

Se aplica daca esantioanele provin din populatii care sunt normal distribuite (lucru care trebuie verificat inainte de aplicarea testului)

Se aplica daca populatiile din care provin esantioanele au dispersii egale (sau abateri standard, ceea ce este acelasi lucru)

Se aplica daca masuratorile efectuate la cele doua esantioane sunt independente

Doua populatii cu mediilesi   si abaterea standard

Doua esantioane extrase din ele:


Valorile de esantionare:

Ipotezele: H0 : m1 = m2   H1 : m1 m2

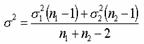
Se calculeaza abaterea standard comuna:

Se calculeaza: care se distribuie Student


cu n1+n2-2 grade de libertate

Se cauta in tabele t95%

Decizia:

Daca tc>t95% se respinge H0 cu pragul de semnificatie de 95%

Daca tc<t95% nu se respinge H0, diferenta este nesemnificativa la pragul de semnificatie de 95%

H0 se respinge, sau

Mediile populatiilor din care provin esantioanele difera, sau

Mediile de esantionare difera semnificativ, sau

Datele suporta ipoteza ca mediile populatiilor sunt diferite

H0 nu se respinge, sau

Nu putem afirma ca mediile populatiilor din care provin esantioanele difera, sau

Mediile de esantionare nu difera semnificativ, sau

Datele nu ne indreptatesc sa afirmam ca mediile populatiilor sunt diferite

Observatii

Niciodata nu se respinge sau accepta ipoteza alternativa

Totusi, respingerea lui H0, este echivalenta logic cu acceptarea uneia dintre alternative

Testul poate esua in tentativa de a respinge H0 fie:

Pentru ca mediile populatiilor sunt egale, fie

Pentru ca mediile populatiilor difera, dar datele furnizate de esantioane sunt insuficiente







Politica de confidentialitate





Copyright © 2025 - Toate drepturile rezervate