Home - Rasfoiesc.com
Educatie Sanatate Inginerie Business Familie Hobby Legal
Doar rabdarea si perseverenta in invatare aduce rezultate bune.stiinta, numere naturale, teoreme, multimi, calcule, ecuatii, sisteme




Biologie Chimie Didactica Fizica Geografie Informatica
Istorie Literatura Matematica Psihologie

Fizica


Index » educatie » Fizica
» Momentului liniar ( impuls ) sau ecuatia curgerii


Momentului liniar ( impuls ) sau ecuatia curgerii


Momentului liniar ( impuls ) sau ecuatia curgerii

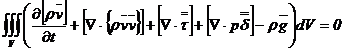
Ecuatia de conservare (2.2) devine in urma explicitarii fluxurilor si debitelor de proprietate:

(2.10)

Se aplica membrului stang al ecuatiei (2.10) teorema de transport Reynolds si primilor trei termeni ai membrului drept teorema de divergenta ( teorema Gauss ):

(2.11)

si se obtine:

(2.12)

Din ecuatia (2.12) rezulta ca integrandul trebuie sa fie nul:

.

Se aplica operatorul nabkla produsului si se obtine:

Se aplica proprietatea de comutativitate produsului scalar celui de-al doilea termen din membrul stang si se obtine:

(2.13)

Tinand seama de expresia derivatei substantiale, ecuatia (2.13) se scrie sub forma:

(2.14)



Se efectueaza analitic produsul scalar din al patrulea termen:

(2.15)

si ecuatia (2.14) se scrie sub forma:

(2.16)

Pentru fluide incompresibile , rezulta:

(2.17)

Ecuatia (2.17) este cunoscuta sub numele de ecuatia Navier - Stokes si reprezinta un echilibru dinamic de forte dat de legea a doua a lui Newton. Semnificatia termenilor din ecuatia (2.17) este urmatoarea: termenul din membrul stang reprezinta acumularea de forte raportate la unitatea de volum, primul termen din membrul drept reprezinta fortele vascoase raportate la unitatea de volum, al doilea termen din membrul drept reprezinta fortele de presiune raportate la unitatea de volum si ultimul termen din membrul drept reprezinta fortele gravitationale raportate la unitatea de volum.

Pentru fluidele ideale se obtine ecuatia lui Euler:

(2.18)

Daca se inmulteste scalar ecuatia vectoriala (2.17) cu vectorul viteza locala , se obtine ecuatia de conservare a energiei mecanice :

(2.19)





Politica de confidentialitate





Copyright © 2025 - Toate drepturile rezervate