![]() | Biologie | Chimie | Didactica | Fizica | Geografie | Informatica |
| Istorie | Literatura | Matematica | Psihologie |
Modelul reologic Bingham
Determinarea parametrilor reologici ai modelului Bingham se bazeaza
pe sirul de egalitati similare pentru viteza de deformare prin forfecare si
tinand seama de ecuatia constitutiva,
:
(3.111)
Se urmareste obtinerea relatiei de
corelare intre viteza unghiulara a cilindrului interior,
, functie de momentul de torsiune,
, sau efortul de forfecare la peretele cilindrului rotitor,
.
Se disting in raport cu raza
, trei zone de curgere:
Zona I:
- curgere vascoasa; Zona II:
- curgere vascoasa si ideala;
Zona III:
- curgere ideala ( tip piston ).

Din relatia (3.88) si (3.111) rezulta:

(3.112)
Daca se dispune de un set de date
experimentale
prin reprezentare
grafica, fig. 3.32 si fig. 3.33, se obtine o dreapta
![]()
![]()

Fig.3.32.
Determinarea parametrilor Fig.3.33. Determinarea parametrilor modelului Bingham,
modelului Bingham,
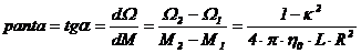
Din panta
dreptelor rezulta viscozitatea limita,
:
(3.113)
sau
(3.114)
Pragul de
curgere,
, rezulta din conditia ca dreapta (3.112) sa treaca prin
punctele
sau
, exemplu punctul
:
(3.115)
sau
(3.116)
. In interiorul acestei zone existand doua zone de curgere,
se face urmatoarea delimitare conform geometriei de mai jos:

![]()
Zona II.a. ![]()
Zona II.b. ![]()
![]()
Relatia (3.112) se scrie sub forma:
(3.117)
deoarece
relatia (3.117)
devine:
(3.118)
sau
(3.119)
In reprezentarea grafica din
fig.3.32 , curba intrerupta este data de ecuatia (3.119). Pentru
se determina valorile
lui
:
(3.120)
In reprezentarea grafica din fig.3.33 , curba intrerupta este data de ecuatia (3.121):

(3.121)
Pentru
se determina valorile
lui
:
(3.122)
![]()
Profilele vitezei tangentiale de curgere pe zone sunt reprezentate in fig.3.34:

![]()
Fig.3.34. Profilul vitezelor tangentiale de curgere in spatiul inelar dintre cilindri

a- ideal b- newtonian c- Bingham d- dilatant e- pseudoplastic
Fig.3.35. Profilele vitezei de deformare prin forfecare si liniile de curent la curgerea
Couette
Aplicatia 1.
Intr-un viscozimetru cu doi
cilindrii coaxiali se studiaza o pasta de Ketchup Tomate avand o comportare
reologica de fluid Ostwald de Waele. Raza cilindrului interior este
, raza cilindrului exterior este
, lungimea de imersare a cilindrului interior in pasta supusa
testarii este
.
Datele experimentale direct masurate sunt cele din coloanele 2 si 4 din tabelul de mai jos:
Tabelul 1. Date experimentale primare si calculate:
|
Nr. exp. |
|
|
|
|
|
|
1. |
1 |
0,105 |
0,00346 |
22,85 |
2,60 |
|
2. |
2 |
0,209 |
0,00398 |
26,29 |
5,19 |
|
3. |
4 |
0,419 |
0,00484 |
31,97 |
10,39 |
|
4. |
8 |
0,838 |
0,00606 |
40,03 |
20,77 |
|
5. |
16 |
1,676 |
0,00709 |
46,83 |
41,55 |
|
6. |
32 |
3.351 |
0,00848 |
56,01 |
83,10 |
|
7. |
64 |
6,702 |
0,01060 |
70,01 |
166,20 |
|
8. |
128 |
13,404 |
0,01460 |
96,43 |
332,39 |
|
9. |
256 |
26,808 |
0,01970 |
130,12 |
664,78 |
Raportul razelor celor doi cilindrii:
![]()
Valorile vitezei unghiulare din coloana 3 a tabelului se calculeaza cu relatia:
![]()
Valorile efortului de forfecare evaluat la suprafata cilindrului interior rotitor se calculeaza cu relatia:
![]()
Determinarea parametrilor reologici al modelului Ostwald de Waele:


![]()
![]()
![]()
![]()
![]()
![]()
![]()
![]()
![]()
![]()
![]()
![]()
![]()
![]()
![]()
![]()


![]()


![]()
![]()
![]()
![]()
![]()
![]()
![]()
![]()
![]()
![]()
![]()
![]()
![]()
![]()
![]()
Parametrii reologici ai pastei cu comportare reologica de tip legea puterii sunt:
indicele de curgere:
;
indicele de consistenta:
.
Viteza de deformare prin forfecare
evaluata la suprafata cilindrului interior se calculeaza cu relatiile de mai
jos pentru urmatoarele situatii pentru
:
fluidul newtonian, ecuatia (3.97.b):
![]()
fluidul Ostwald de Waele, ecuatia (3.108.b):
.
Copyright © 2025 - Toate drepturile rezervate