![]() | Biologie | Chimie | Didactica | Fizica | Geografie | Informatica |
| Istorie | Literatura | Matematica | Psihologie |
Reometrie
Curgerile reometrice sunt curgeri simple ( unidirectionale ) cu urmatoarea distributie
a vitezei de curgere:
.
Cele mai importante curgeri sunt cele din tabelul 3.2:
Tabelul 3.2. Curgeri reometrice

Ca obiectiv important al reometriei il constituie masurarea functiilor de material cu
ajutorul instrumentelor denumite generic reometre:
- prima
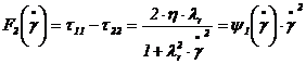
functie de material ; (3.78)
- a doua functie de material (3.79)
- a treia functie de material (3.80)
in care:
coeficientul primei, a
doua si a treia functii de material.
Viscozimetrele
sunt aparate care masoara coeficientul primei functii de material
functie de viteza de
deformare prin forfecare.
Reometrele
sunt aparate care masoara coeficientul primei diferente a
eforturilor normale
functie de viteza de
deformare prin forfecare.
Reogoniometrele
sunt aparate care masoara coeficientul primei diferente a
eforturilor normale
functie de viteza de
deformare prin forfecare.
Delimitarea reometrelor nu este stricta in raport cu coeficientii functiilor de material.
Copyright © 2025 - Toate drepturile rezervate