![]() | Aeronautica | Comunicatii | Constructii | Electronica | Navigatie | Pompieri |
| Tehnica mecanica |
PROIECT DE LICENTA
Enuntul temei
Proiectarea unei instalatii frigorifice aferenta unui complex hotelier: proiectarea depozitului si a centralei frigorifice , a zonei de deservire alimentara a turistilor , avandu-se in vedere depozitarea de scurta durata a produselor alimentare perisabile si prevederea unor vitrine frigorifice pentru expunerea acestor produse in vederea desfacerii lor curente.
Date de proiectare
1.Sortimente de baza ce se desfac zilnic:
Carne refrigerata 2 tone
Preparate si semipreparate din carne 2.2 tone
Pasari refrigerate si congelate 1.6 tone
Peste refrigerat si congelat 3 tone
Unt si margarina 0.5 tone
Lapte si produse lactate 1 tona
Branzeturi 1 tona
Fructe si legume proaspete 1.7 tone
Vinuri 1 tona
Bere 1.3 tone
Oua 5000 buc
2.Conditii de pastrare, modul de ambalare si depozitare precum si durata de
pastrare se vor stabili conform normelor in viguare.
3.Vitrinele frigorifice vor trebui sa asigure pastrarea produselor ce se desfac pe
timp de 8 ore.
4.Restaurantul cantina aferent hotelului care este deservit de centrala frigorifica
si depozitele proiectate functioneaza in doua ture de cate 8 ore.
5.Se va dispune de curent electric si apa de racire de la reteaua curenta.
6.Complexul hotelier este amplasat in zona Galati.
MEMORIU DE CALCUL(capitole)
1.Pastrarea produselor alimentare in intreprinderi industriale si de deservire
publica.
2.Stabilirea dimensiunilor spatiilor frigorifice, a mobilierului frigorific folosit si
intocmirea planului depozitului.
3.Calculul grosimii izolatiilor si verificarea la condensare.
4.Studiul variantelor de instalatii frigorifice cu comprimare mecanica
compatibile cu datele de proiectare.
5.Stabilirea necesarului de frig si a puterii frigorifice.
6.Alegerea variantei optime de instalatie in urma analizei tehnico-economice.
7.Proiectarea unui aparat de schimb de caldura :scimbator regenerativ cu
Serpentina
8.Alegerea aparatelor si masinilor
9.Calculul principalelor conducte si izolarea acestora.
10.Centrala frigorifica.
CAPITOLUL 1
PASTRAREA PRODUSELOR ALIMENTARE IN INTREPRINDERI INDUSTRIALE SI DE ALIMENTATIE PUBLICA
Tehnologia frigorifica a produselor alimentare consta in prelucrarea lor cu ajutorul frigului - refrigerarea sau congelarea lor.
Problema de baza a tehnologiei frigorifice a produselor alimentare consta in pastrarea calitatii si proprietatile lor initiale.Tehnologia frigorifica trebuie sa asigure marimea duratei de depozitare a produselor alimentare cu pierderi in greutate datorate uscarii cat mai mici si fara inrautatirea vizibila a gustului si aspectului exterior.
Influenta frigului asupra produselor
Pentru pastrarea produselor alimentare se folosesc diferite metode de conservare : sarare,acidulare a mediului,afumare,marinare.
Utilizarea frigului este cea mai buna metoda de consrvare a produselor alimentare.In acest caz calitatea produselor ramane aproape neschimbata ; ele nu isi pierd aspectul exterior,gustul si valoarea lor nutritiva.Cauzele influentei favorabile a figului asupra produselor alimentare se datoresc faptului ca micsorarea temperaturii produselor si a mediului ambiant inrautatesc conditiile de dezvoltare a microorganismelor.La temperaturi joase,dezvoltarea microorganismelor pe aceste produse,activitatea fermentilor cat si procesele biochimice sunt incetinite.Frigul are o importanta enorma pentru conservarea vitaminelor in fructe si legume.De exemplu,in spanacul care s-a pastrat 6 zile la temperatura de aproximativ 2°C ramane aproximativ 80% din procentul, continutul initial de vitamina C,iar la temperatura de 15°C numai 5% din continutul initial in aceste vitamine.
1.2 Pastrarea produselor alimentare.
Particularitati.
Pericolul alterarii produselor alimentare care intra in reteaua comerciala depinde de durata pastrarii produselor in frigorifere. In afara de aceasta,pastrarea produselor este influentata de umezirea lor datorita vaporilor din aerul cald exterior.Aceasta umezire este inevitabila in cazul descarcarii produselor din camerele de depozitare spre camerele si vitrinele de expunere ale intreprinderilor comerciale si centrelor hoteliere.
In acest caz frigoriferele au maxim 5 camere frigorifice si anume :
1. Pentru produse din carne - carne refrigerata si congelata si pasari ;
2. Pentru peste - peste refrigerat si congelat,fileuri,icre,si alte produse din peste ;
3. Pentru lapte si grasimi - lapte,frisca,smantana,branza de vaci, branzeturi, unt si alte grasimi ;
4. Pentru mezeluri,sunci,afumaturi,conserve ;
5. Pentru fructe si legume - fructe, verdeturi, vin, bere, sucuri de fructe ;
Produsele care au un miros patrunzator nu trebuie sa stea in aceeasi camera cu produsele care fixeaza usor aceste mirosuri.De exemplu,nu este permisa pastrarea pestelui impreuna cu untul.Toate produsele care intra in frigorifere trebuie sa fie de regula in stare refrigerata sau congelata pentru a nu mari sarcina termica a utilajului frigorifer.Temperatura aerului in camere,tinand seama de durata de depozitare scurta a produselor se va mentine astfel :
-pentru camera de pastrare a carnii : 2-4°C
-pentru camera de pastrare a pestelui : -2°C
-pentru camera de pastrare a produselor lactate : 0-2°C
-pentru camera de pastrare a fructelor, legumelor si bauturilor : 4-6°C
Produsele congelate la temperaturile indicate se dezgheata treptat.Durata scurta de pastrare a produselor alimentare in frigorifere (2-4) zile se explica prin considerente economice : pastrarea produselor in frigorifere mari, aferente centrelor de productie.Crearea unor rezerve mari de produse in frigoriferele intreprinderilor comerciale necesita ca instalatiile frigorifice specifice sa aibe o capacitate mare si provoaca stocarea,care reclama sume mari de bani investiti.La stivuirea manuala ,asezarea produselor in stiva, se face pe o inaltime de maxim 1.5m, mentinand o distanta de la pereti si de la bateriile de racire de 20-30 cm ; intre stive se lasa coridoare de minim 0.5m pentru a putea controla usor starea produselor si pentru a putea permite manipularea lor.Toate produsele trebuie sa fie curate si in buna stare, iar produsele care se primesc neambalate nu trebuie sa fie murdarite in timpul manipularii si incarcarii lor in camera.
Normele de incarcare a produselor,tinand seama de coeficientii de utilizare a suprafetei camerei, precum si de temperatura, umiditate relativa a aerului, de durata de pastrare au fost sintetizate in tabelul 1.
|
Nr. crt |
Denumirea camerei si felul prod. |
Temp de depozitare [°C] |
Umiditatea relativa |
Ventilatoare [nr de schimburi pe zi] |
Durata [zile] |
Norme de incarcare [kg/m²] |
|
Depozit carne -vita -porc -oaie -pasari | ||||||
|
Depozit peste -sarat -congelat -afumat -icre,conserve | ||||||
|
Depozit lactate,grasimi, lapte, branza, unt. | ||||||
|
Depozit fructe, legume, vin. | ||||||
|
Depozit preparate din carne, mezeluri, conserve , oua |
Tabel nr. 1
CAPITOLUL 2
STABILIREA DIMENSIUNILOR SPATIILOR FRIFORIFICE
, A MOBILIERULUI FRIGORIFIC FOLOSIT
SI INTOCMIREA PLANULUI DEPOZITULUI FRIGORIFIC
2.1 Proiectarea depozitelor frigorifice mici ale intreprinderilor
Spre deosebire de depozitele frigorifice mari, care sunt cladiri indepedent separate, depozitele frigorifice mici sunt asezate aproape exclusiv in subsolurile, parterele cladirilor existente sau a cladirilor locuite cu multe etaje.
Numarul camerelor si suprafata lor depind de destinatia depozitului si cantitatea de produse consumate pe zi.
La alegerea locului pentru depozitul frigorific trebuie sa se tina seama de usurinta incarcarii si descarcarii produselor din depozit ; se recomanda ca depozitul frigorific sa fie asezat aproape de incaperea anexa a magazinului alimentar, a restaurantului sau a blocului de desfacere a produsului respectiv.
Impartirea camerelor frigorifice trebuie sa corespunda urmatoarelor cerinte :
1. Camerele sa fie lipite pe cat posibil una de cealalta, astfel incat sa se obtina un bloc de camere cu coridor tambur.
2. Blocul de camere cu coridor tambur trebuie sa aiba pe cat posibil forma unui dreptunghi
3. Camerele nu trebuie sa fie asezate alaturi de sala cazanelor,de ateliere calde ; in interiorul camerelor nu e permisa trecerea conductelor de apa.
4. Camerele nu trebuie sa fie de trecere, suprafata diferitelor camere dupa izolare sa nu fie mai mica de 4m², la o inaltime de cel putin 2m.
5. Dimensiunile camerelor vor fi multiplu de trei (3m) pana la deschiderea de 15m.Raportul dintre lungimea si latimea camerei nu trebuie sa depaseasca 2.5m, iar inaltimea camerei trebuie sa fie multiplu de 0.6m.
6. In camerele cu suprafata mai mica de 20m² nu trebuie sa existe stalpi separati de pereti, deoarece, apar dificultati in deservirea camerelor si mentinerea curateniei.
7. Latimea coridorului tambur trebuie sa fie de 2-3m iar lungimea sa fie minima.
8. Pentru protejarea impotriva incendiilor si pentru protejarea izolatiei peretilor, camera trebuia sa aibe peretii exteriori rezistenti la foc.
9. Sectia de masini pentru instalatii frigorifice trebuie sa aiba o iesire direct afara si sa fie lipita direct de camere pentru a proteja conductele si a le micsora lungimea.
Pentru durata de pastrare mica (2-4 zile), produsele se aseaza in stiva, sau pe rastele, sau rafturi, pe o inaltime de cel mult 1.5m. In acest caz trebuie lasate distante de la pereti si de la bateriile de racire, precum si locuri de trecere intre stive, dupa cum urmeaza :
- intre stive : 50 cm ;
- fata de pardoseala : 10 - 15 cm ;
- fata de tavan : 60 - 100 cm ;
- fata de canalele de aer : 15 - 30 cm ;
- fata de perete : 30 - 60 cm ;
- fata de serpentinele de perete : 40 - 60 cm ;
La proiectarea constructiei pentru camerele frigorifice se vor prevedea :
- goluri in pereti si plansee pentru traversari de conducte ;
- goluri de pardoseala pentru ingroparea definitiva a pragurilor usilor ;
- agrafe cu mustati (ancore) pentru prinderea izolatiei in plansee si pereti ;
- denivelari in pardoseala pentru includerea stratului de izolatie frigorifera ; pentru aceasta trebuie sa se tina cont de grosimea stratului de izolatie hidrofuga si frigorifera,de grosimea betonului de egalizare si a stratului de uzura, astfel incat stratul de uzura, in final, sa fie la nivelul pardoselii palierului respectiv ;
- panta la pardoseala, spre sifoane, daca exista in camera ; in cazul cand nu exista sifoane montate in camerele frigorifice, pantele pardoselii se vor da spre usa ;
Depozitele frigorifice se prevad cu rampe pentru incarcare-descarcare, denivelata fata de teren si de aceea se impune ca nivelul depozitului sa fie la aceeasi cota cu rampele ,respectiv la 1.10m.
Sistemul de frigorifer cu rampe inalte nu exclude solutia de frigorifer cu rampa la nivelul terenului.
Rampele vor avea latimi suficiente pentru a asigura trecerea a doua utilaje de incarcare ,inclusiv spatiul de siguranta si pentru pietoni.
Lungimea rampelor trebuie sa asigure deservirea tuturor acceselor in frigorifer.
Rampele vor fi protejate cu serpentine, copertine pe toata lungimea si pe o latime mai mare decat a rampelor cu minimum 30 cm.
In cazul transporturilor si manipularilor cu mijloace mecanizate, rampele vor fi prevazute cu planuri inclinate pentru lucrarea acestor mijloace.
(conform [1] si [4])
2.2 Calculul suprafetelor de depozitare
Conform [4],suprafetele camerelor de depozitare se calculeaza cu relatia :
![]()
(1)
unde :
- coeficientul de adaos corespunzator camerelor de
depozitare ;valorile acestui coeficient sunt date in tabelul 2.1 din [4]
dupa cum urmeaza :
pentru S
< 6 m²
= 1.7
pentru 6
< S
< 30
= 1.5
pentru 30 < S
< 80
=1.4
m
[kg] = capacitatea de incarcare
pentru camera i
N
[kg/m²] = norma de incarcare
cu produse
Capacitatile de depozitare pe sortimente si nivele de temperatura precum si suprafetele de depozitare se gasesc sintetizate in tabelul nr. 2.1
|
Nr. crt |
Denumirea spatiului frigorific |
|
Capacitatea zilnica [kg/zi] |
Suprafata S |
Durata [zile] |
Incarcare specifica [kg/m²] |
|
Depozit carne | ||||||
|
Depozit peste | ||||||
|
Depozit lactate | ||||||
|
Depozit fructe, legume, vin. | ||||||
|
Depozit preparate din carne, mezeluri, conserve , oua |
Tabel nr.2
2.3 Stabilirea mobilierului frigorific folosit
Pentru expunerea produselor in vederea cererii lor in consum se folosesc dulapuri si vitrine frigorifice dupa cum urmeaza :
-pentru carne, pasari, preparate si semipreparate din carne, oua se folosesc :
vitrine firgorifice modulate model VFMM-101
dulapuri frigorifice model DF-1600 AI
-pentru depozitarea lactatelor si a branzeturilor se folosesc :
vitrine firgorifice modulate model VFMM-101
dulapuri frigorifice model DF-1600 AI
-pentru depozitarea pestelui se folosesc :
dulapuri frigorifice model DF-1600 AI
Calculul volumului de dulapuri se face in functie de volumul ocupat de produse intr-un schimb, dupa cum urmeaza :
1. Depozitarea carnii :
Se folosesc pentru expunere doua vitrine frigorifice, iar restul de produse perisabile se depoziteaza in dulapuri ;
Numarul de dulapuri se calculeaza astfel :
(2)
unde :
[kg] =cantitatea de produse care se
pastreaza intr-un schimb in dulapuri

M = cantitatea de produse care se desfac zilnic
M = 3600 kg/zi
n.v = 2 = numarul de vitrine frigorifice
Vv = volumul de depozitare al vitrinei frigorifice
Vv = 0.5 m³
= norma de incarcare
[kg/m³]
= 300 kg/m³
![]()
-volumul de depozitare al dulapului
= 3.125 ; avem deci nevoie de 4 dulapuri DF-1600 AI
2. Depozitarea pestelui

=2.21 3 dulapuri DF-1600 AI
3. Depozitarea lactatelor si branzeturilor

de unde obtinem :
=3.37 4 dulapuri DF-630 AI
4. Depozitarea preparatelor si semipreparatelor din carne,oua ;
3
dulapuri DF-1600 AI
Fructele si legumele sunt pastrate in lazile si laditele in care sau depozitat anterior, iar vinul si berea in navete sau butoaie.
2.4 Alegerea usilor spatiilor frigorifice
Se alege pentru fiecare spatiu frigorific cate o usa din lemn izolata frigorific U-2-1.8 x 2.1 R cu urmatoarele caracteristici :
-inaltime : h = 2160 mm ;
-latimea : a = 1800 mm ;
-grosime : g = 158 mm;
-masa neta m = 450 kg
2.5 Intocmirea planului depozitului frigorific
si a centralei frigorifice aferente
Inaltimea spatiilor frigorifice este :
h = 4 ∙ 0.6= 2.4 m
Dimensiunile spatiilor frigorifice sunt date in tabelul numarul 3
|
Nr. Crt. |
Spatiu frigorific |
Temperatura [°C] |
Suprafata [m²] |
Dimensiuni |
|
Depozit carne Depozit peste Depozit lactate Depozit fructe Depozit preparate |
6 x 6 x 2.4 6 x 3 x 2.4 6 x 3 x 2.4 6 x 6 x 2.4 6 x 3 x 2.4 |
Tabel nr 3
Schita amplasarii spatiilor frigorifice in cadrul depozitului frigorific se da in fig 1.
Figura nr.1
CAPITOLUL 3
CALCULUL GROSIMII IZOLATIILOR SI
VERIFICAREA LA CONDENSARE
3.1. Rolul si conditiile pe care trebuie sa le
indeplineasca izolatia frigorifica
Izolatia frigorifica a depozitelor este reprezentata de totalitatea straturilor termoizolante hidrofuge ce intra in componenta acesteia.
Rolul izolatiei frigorifice consta in reducerea fluxului de caldura ce patrunde prin invelisul camerei frigorifice in vederea mentinerii in camera a unui regim de temperaturi si umiditate cat mai stabil.
Acest regim trebuie mentinut indiferent de modificarea conditiilor de temperatura si umiditate ale mediului ambiant .
Conditii pe care trebuie sa le indeplineasca izolatia depozitelor frigorifice:
Sa aiba grosime suficienta iar stratul de izolatie al camerei sa fie continuu;
Sa fie protejata impotriva patrunderii umezelii;
Volumul specific redus sa nu depaseasca in densitate 300 kg/m³;
O fixare buna a straturilor de izolatie de elementele de constructie;
Asigurarea izolatiei impotriva razatoarelor;
Pentru materialele care se taseaza in timp se va prevedea un sistem de fixare a izolatiei pe elemente de constructie folosind agrafe din sarma moale fixate in partea de constructie.
Trebuie sa se asigure continuitate intre bariera de vapori de la pereti si bariera hidrofuga de la izolatie de la pardoseala.
Placile de izolatie se lipesc intre ele cu bitum, prin puncte, placile asezandu-se decalat, rosturile se inchid cu bitum.
Bariera de vapori este constituita de obicei dintr-un strat de bitum care se monteaza numai in partea calda a stratului izolatiei.
La pardoseli, pentru camerele frigorifice cu temperaturi interioare superioare valorii de 0sC, amplasate la parter si fara subsoluri, se executa numai o izolatie perimetrica a pardoselii, cu latimea de 1 m. In continuare se executa un strat de egalizare din beton slab armat. Betonul de egalizare nu se va executa pana la pereti, ci depasindu-i cu o distanta egala cu grosimea izolatie peretilor, in vederea realizarii stratului continuu de izolatie termica.
Panta pardoselilor camerelor frigorifice in vederea realizarii scurgerii apei se executa prin variatia grosimii stratului de beton de egalizare.
Peste stratul de egalizare se executa un strat de uzura care la intersectia cu tencuiala interioara a peretilor va fi continuat cu o scafa de etansare din ciment.
3.2. Calculul rezistentelor termice ale
tuturor suprafetelor de izolat
Peretele exterior
In figura nr.2 este prezentat detaliul la peretele exterior.
Coeficientii de conductibilitate termica pentru materiale de constructie, termoizolante si izolante folosite la constructia frigoriferelor au fost extrasi din anexa XXVI din [4]

Figura 2. Detali perete exterior
Tencuiala
din ciment 
Strat
de caramida 
Tencuiala din ciment fin, driscuita marca 1000

Bariera de vapori din emulsie hidrobet aplicata in doua straturi

Strat de izolatie din polistiren celular tip PEXI

Strat de tencuiala rugoasa din ciment si nisip marca M 100T

Plansa din rahet
Boltari cu piulita impuscata in caroiaj de 50x50
Mustati duble din sarma zincata de 2 mm grosime

2. Peretele interior care desparte doua spatii frigorifice

Tencuiala rigoasa de ciment si nisip

Strat de izolatie PEXI

3,5. Tencuiala din ciment fin,driscuita
Perete din caramida
6. Bariera din vapori de emulsie


3. Peretele interior care desparte un spatiu nefrigorific de unul frigorific

4. Pardoseala

Fig 4. Detaliu pardoseala
Planseu din beton

Sapa de egalizare ( M 100T)

Bariera de vapori (1 PA 55 + 1 IA + 3B)


Strat de pluta

Strat de rezistenta din beton armat

Beton
de panta 
Izolatie hidrofuga la pardoseala din 1 PA 55 lipit cu un strat bitum
a.

b.

Sapa
protectie din beton cu plansa 
Strat
de uzura 
In aceste conditii : 
5. Izolatie frigorifica peste elemente de acoperis (plafon)

Fig 5. Detaliu izolatie frigorifica peste elemente de acoperis
1. Planseu
beton 
2. Strat de
egalizare din mortar ciment marca M 100T 
3. Azbociment
ondulat 
4. Placi polistiren
PEXI 
5. Panza
bituminata PA 55 nelipita -1 strat
6. Bariera de vapori PA 55 - 2 straturi

7. Azbociment
ondulat 
8. Beton perlit 
9. Hidroizolatie
2 PA 55+ 1 IA+4B 
10. Protectia
izolatiei din vopsea alba cu

3.3 Calculul grosimi izolatiei frigorifice
Conform [4], grosimea izolatiei frigorifice se determina din relatia :

unde :
[m] este grosimea stratului de izolatie termica;
[W/mK] este conductivitatea termica a materialului
izolator ales ;
Din [4] :
polistiren = 0.034
w/mk = 0.029 kcal/h∙m∙k
pluta =0.093 w/m∙k = 0.079
kcal/h∙m∙k
i,e[W/m2] sunt coeficientii
de convectie pe partea din interior/exterior a izolatiei;

q [kcal/m²∙h] = densitatea de flux de caldura
q polistiren = 8 kcal/m²∙h
q pluta = 11 kcal/m²∙h
=
diferenta de temperatura dintre temperatura exterioara
suprafetei de transfer termic si temperatura interioara a spatiului frigorific.
Pentru
fiecare suprafata de transfer termic se delimiteaza spatiul
frigorific ; diferenta de temperatura se stabileste in
functie de
astfel :
[°C]
unde :
te este
temperatura in exteriorul spatiului frigorific izolat;
ti este temperatura in interiorul spatiului
frigorific izolat.
se stabileste pentru fiecare spatiu
frigorific
-pentru
pereti exteriori si plafoane
-pentru pereti interiori, plafoane si
pardoseli ce separa spatiul frigorific de unul nefrigorific care
comunica direct cu exteriorul.
-pentru pereti interiori, plafoane si
pardoseli ce separa spatiul frigorific de unul nefrigorific care nu
comunica direct cu exteriorul
-pentru pereti, plafoane si
pardoseli ce separa 2 spatii frigorifice similare
Actiunea radiatiei solare asupra intensitatii
transmiterii caldurii se considera cu aproximatie asimiland
acestuia cu cel provocat de o diferenta suplimentara de
temperatura
care se adauga la
se ia in consideratie numai la pereti
exteriori ori orientati spre N, E, V, S-E sau S-V sau S si la
plafoane astfel :
= 0°C
pentru peretii orientati spre N
= 5-10°C
pentru pereti exteriori orientati spre E, V, S-E, S-V
= 15°C
pentru pereti exteriori orientati spre S
= 18°C
15°C pentru
plafoane, acoperis
Pentru pardoselile asezate pe sol, temperatura exterioara a solului se poate considera vara :
= 15°C
-temperatura solului la baza constructiei
Coeficientul de transmitere a calduri, K, se calculeaza astfel :

Exemplu de calcul al grosimii izolatiei frigorifice pentru depozitul de carne
Perete
nord : ![]()
unde : te = temperatura exterioara spatiului frigorific, conform
[2], se calculeaza astfel :
unde :
=
temperatura exterioara pe timp de vara
= 22.5°C - temperatura de referinta
pentru localitatea Galati in luna iulie (conf. STAS 6648/2-70)
= 9.3 grd,
abaterea orara a temperaturi aerului exterior la ora 14 in localitatea
Galati, in luna iulie ;
=31.8°C
=32°C
t =
2°C ;
=30°C
= 0.7
=21°C
q polistiren = 8 kcal/m²h
polistiren =
0.029 kcal/h∙m∙k
![]()
= 15 kcal/
m²hgrd (la exterior)
= 7 kcal/
m²hk (la interior)

k= 0.362 kcal/ m²hgrad
Perete sud :
= 32-2 =30°C
=15°C
= 45°C


![]()
k= 0.175 kcal/ m²hgrad
3. Perete est :
=30°C
= 0.7
=21°C

![]()
![]()
K= 0.362 kcal/ m²hgrad
4. Perete vest :
=30°C
= 0.4
=12°C

![]()
![]()
k= 0.360 kcal/ m²hgrad
5. Plafon :
=30°C
=15°C
=
45°C
= 25 kcal/
m²hk

![]()
![]()
k= 0.161 kcal/ m²hgrad
5. Pardoseala :
= 15-2= 13°C
=
= 13°C
q pluta = 11 kcal/m²h
pluta = 0.079 kcal/h∙m∙k
= ∞
= 5 kcal/ m²hk

![]()
![]()
k= 0.623 kcal/ m²hgrad
Calculul grosimi pentru izolatia frigorifica la toate camerele depozitului se gaseste sintetizat in tabelul nr.4
3.4 Verificarea la condesare a grosimii izolatiei frigorifice
Prin verificarea la condesare se verifica conditia ca pe suprafata peretelui ce contine izolatia frigorifica sa nu produca condesarea vaporilor de apa ; acest fenomen avand loc, atunci cand, venind in contact cu suprafata peretelui, temperatura aerului atinge temperatura punctului de roua ;
Pentru prevenirea condesarii, trebuie ca suprafata
exterioara a peretelui sa aiba o temperatura
superioara punctului de roua :
Conform [4], inlaturarea fenomenului de condensare a vaporilor de apa pe pereti depozitului proiectat, are loc daca se verifica relatia :

unde:
k
- coeficientul
de transmitere a calduri;
-
temperatura aerului exterior camerei;
-
temperatura punctului de roua;
Aceasta temperatura (
) se
determina cu ajutorul diagramei i-x a aerului umed.
-
temperatura din interiorul camerei frigorifice;
-
coeficientul de convectie pe fata exterioara a peretelui; m - coeficientul de
siguranta; din [4] coeficientul m ia valorile: m=1,0
pentru pereti masivi (cu grosime mare);
m=1,1 pentru pereti cu grosime medie;
m=1,2 pentru pereti subtiri.
Din tabelul nr. 5 se observa ca relatia de mai sus este verificata pentru toate camerele frigorifice ale depozitului proiectat.
|
Nr. crt |
Denumirea spatiului frigorific |
Denumirea suprafetei izolate |
[°C] |
[°C] |
grd |
Materialul utilizat pt izolatie |
q
|
|
|
|
|
k
|
||
|
|
|
calculate |
stas |
|||||||||||
|
|
|
|
|
|
|
|
|
|
|
|
|
|
|
|
|
|
Depozit carne |
Perete N |
|
|
|
polistiren |
|
|
|
|
|
|
|
|
|
Perete S |
|
|
|
polistiren |
|
|
|
|
|
|
|
|
||
|
Perete E |
|
|
|
polistiren |
|
|
|
|
|
|
|
|
||
|
Perete V |
|
|
|
polistiren |
|
|
|
|
|
|
|
|
||
|
Plafon |
|
|
|
polistiren |
|
|
|
|
|
|
|
|
||
|
Pardoseala |
|
|
|
pluta |
|
|
|
|
|
|
|
|
||
|
|
Depozit peste |
Perete N |
|
|
|
polistiren |
|
|
|
|
|
|
|
|
|
Perete S |
|
|
|
polistiren |
|
|
|
|
|
|
|
|
||
|
Perete E |
|
|
|
polistiren |
|
|
|
|
|
|
|
|
||
|
Perete V |
|
|
|
polistiren |
|
|
|
|
|
|
|
|
||
|
Plafon |
|
|
|
polistiren |
|
|
|
|
|
|
|
|
||
|
Pardoseala |
|
|
|
pluta |
|
|
|
|
|
|
|
|
||
|
|
Depozit lactate |
Perete N |
|
|
|
polistiren |
|
|
|
|
|
|
|
|
|
Perete S |
|
|
|
polistiren |
|
|
|
|
|
|
|
|
||
|
Perete E |
|
|
|
polistiren |
|
|
|
|
|
|
|
|
||
|
Perete V |
|
|
|
polistiren |
|
|
|
|
|
|
|
|
||
|
Plafon |
|
|
|
polistiren |
|
|
|
|
|
|
|
|
||
|
Pardoseala |
|
|
|
pluta |
|
|
|
|
|
|
|
|
||
|
|
Depozit fructe,legume vin,bere |
Perete N |
|
|
|
polistiren |
|
|
|
|
|
|
|
|
|
Perete S |
|
|
|
polistiren |
|
|
|
|
|
|
|
|
||
|
Perete E |
|
|
|
polistiren |
|
|
|
|
|
|
|
|
||
|
Perete V |
|
|
|
polistiren |
|
|
|
|
|
|
|
|
||
|
Plafon |
|
|
|
polistiren |
|
|
|
|
|
|
|
|
||
|
Pardoseala |
|
|
|
pluta |
|
|
|
|
|
|
|
|
||
|
|
Depozit preparate |
Perete N |
|
|
|
polistiren |
|
|
|
|
|
|
|
|
|
Perete S |
|
|
|
polistiren |
|
|
|
|
|
|
|
|
||
|
Perete E |
|
|
|
polistiren |
|
|
|
|
|
|
|
|
||
|
Perete V |
|
|
|
polistiren |
|
|
|
|
|
|
|
|
||
|
Plafon |
|
|
|
polistiren |
|
|
|
|
|
|
|
|
||
|
Pardoseala |
|
|
|
pluta |
|
|
|
|
|
|
|
|
||
Tabelul nr.4
|
Nr. crt |
Denumirea spatiului izolat |
Denumirea suprafetei izolate |
[°C] |
[°C] |
|
[°C] |
|
m |
k
|
A=
|
k<A |
|
Depozit carne |
Perete N |
Se verifica |
|||||||||
|
Perete S |
Se verifica |
||||||||||
|
Perete E |
Se verifica |
||||||||||
|
Perete V |
Se verifica |
||||||||||
|
Plafon |
Se verifica |
||||||||||
|
Pardoseala |
|
|
Se verifica |
||||||||
|
Depozit peste |
Perete N |
Se verifica |
|||||||||
|
Perete S |
Se verifica |
||||||||||
|
Perete E |
Se verifica |
||||||||||
|
Perete V |
Se verifica |
||||||||||
|
Plafon |
Se verifica |
||||||||||
|
Pardoseala |
|
|
Se verifica |
||||||||
|
Depozit lactate |
Perete N |
Se verifica |
|||||||||
|
Perete S |
Se verifica |
||||||||||
|
Perete E |
Se verifica |
||||||||||
|
Perete V |
Se verifica |
||||||||||
|
Plafon |
Se verifica |
||||||||||
|
Pardoseala |
|
|
Se verifica |
||||||||
|
Depozit fructe,legume vin,bere |
Perete N |
Se verifica |
|||||||||
|
Perete S |
Se verifica |
||||||||||
|
Perete E |
Se verifica |
||||||||||
|
Perete V |
Se verifica |
||||||||||
|
Plafon |
Se verifica |
||||||||||
|
Pardoseala |
|
|
Se verifica |
||||||||
|
Depozit preparate |
Perete N |
Se verifica |
|||||||||
|
Perete S |
Se verifica |
||||||||||
|
Perete E |
Se verifica |
||||||||||
|
Perete V |
Se verifica |
||||||||||
|
Plafon |
Se verifica |
||||||||||
|
Pardoseala |
|
|
Se verifica |
Tabelul nr.5
Capitolul 4
STABILIREA NECESARULUI DE FRIG
SI A PUTERILOR FRIGORIFICE
Conform [4], consumul de frig timp de 24h se calculeaza cu relatia :
[kcal/24h]
unde :
= necesarul de frig
pentru acoperirea patrunderilor de caldura prin convectie,
conductie si radiatie din mediul inconjurator prin pereti,
pardoseala, plafon ;
= necesarul de frig tehnologic pentru procesele de racire,
refrigerare congelare, eliminarea calduri de respiratie sau pentru
unele procese chimice si biochimice
= necesarul de frig pentru ventilarea camerelor frgorifice cu
aer proaspat care trebuie racit si uscat
= necesarul de frig rezultand din conditii de
exploatare, acoperirea caldurii provenite din iluminat, din functionarea
motoarelor, caldura provenita de la persoanele ce manipuleaza
produsele, datorita deschiderii usilor etc,
4.1 Stabilirea necesarului de frig pentru acoperirea patrunderilor de caldura prin convectie conductie si radiatie
[kcal/24h]
unde :
F [m²] =suprafata peretilor, a pardoselei si a plafonului corespunzator fiecarui spatiu frigorific;
K [kcal/m²hgrd] = coeficient global de transmitere a caldurii prin conductie , convectie si radiatie, prin pereti, plafon si pardoseala;
=
diferenta de temperatura dintre temperatura exterioara
suprafetei de transfer termic si temperatura interioara spatiului
frigorific ;
Pentru fiecare spatiu frigorific se iau in considerare 6
suprafete de transfer termic :4 pereti, plafon si
pardoseala.Valoare marimii
la aparate (coloana 10 din tabelul nr.6) se obtine
prin insumarea fluxurilor calorice prin toate cele 6 suprafete
delimitatoare.
La stabilirea valorii marimii
la
compresoare (coloana 12 din tabelul nr.6) nu se iau in considerare fluxurile
calorice prin suprafete ce separa spatii frigorifice.
Conventional, puterea compresoarelor se stabileste numai pe baza fluxurilor calorice exterioare ce patrund prin conturul izolat termic al acestuia, schimburile interne de caldura intre spatii frigorifice compensandu-se reciproc.
Exemplu
de calcul al necesarului de frig
pentru depozitul de carne
Perete nord
L =
6+ ![]()
unde :
= grosimile
straturilor de perete ce desparte un spatiu frigorific de unul
nefrigorific ;
= grosimea peretelui ce desparte doua spatii
frigorifice ;
= 0.396 m
= 0.396 m
L =6.792 m
H =
2.4 +
unde :
= grosimea plafonului camerei ;
= grosimea pardoselii camerei ;
= 0.492 m
= 0.433 m
H = 3.325 m
F = L·H = 22.573 m²
K= 0.374 kcal/m²hgrd
= 21°C
= 4141.152 kcal/24h
=
= 4141.152 kcal/24h
Perete sud:
F = 22.573 m²
K= 0.175 kcal/m²hgrd
= 45°C
= 4266.297 kcal/24h
= 4266 kcal/24h
Perete est :
B= 6+![]()
unde:
= grosimea peretelui exterior sud [m]
= 0.581 m
= 0.396 m
B = 6.977 m
H = 3.325 m
H = 3.325 m
F = 23.188 m²
K= 0.364 kcal/m²hgrd
= 21°C
= 4254.078 kcal/24h
=
= 4254.078 kcal/24h
Perete vest :
F = 23.188 m²
K= 0.360 kcal/m²hgrd
= 12°C
= 2404.131 kcal/24h
= 400.688 kcal/24h
Plafon :
L = 6.792 m
B = 6.977 m
F = 47.346 m²
K= 0.161 kcal/m²hgrd
= 45°C
=8332.606 kcal/24h
=
=8332.606 kcal/24h
Pardoseala:
F = 47.346 m²
K= 0.623 kcal/m²hgrd
=13°C
= 9202.926 kcal/24h
=
= 9202.926 kcal/24h
=
= 34304.289 kcal/24h
=
= 30497.247 kcal/24h
Rezultatele calcului necesarului de frig pentru acoperirea patrunderilor de caldura prin convectie, conductie si radiatie, pentru toate camerele depozitului frigorific, sunt date in tabelul nr.6.
|
Nr. crt |
Denumirea spatiului frigorific |
Denumirea suprafatei de schimb de caldura |
[°C] |
grd |
Dimensiunile camerei |
F [m²] |
K
|
|
||||
|
L[m] |
B[m] |
H[m] |
|
|
|
|||||||
|
Depozit carne |
Perete N | |||||||||||
|
Perete S | ||||||||||||
|
Perete E | ||||||||||||
|
Perete V | ||||||||||||
|
Plafon | ||||||||||||
|
Pardoseala | ||||||||||||
|
Depozit peste |
Perete N | |||||||||||
|
Perete S | ||||||||||||
|
Perete E | ||||||||||||
|
Perete V | ||||||||||||
|
Plafon | ||||||||||||
|
Pardoseala | ||||||||||||
|
|
Depozit lactate |
Perete N | ||||||||||
|
Perete S | ||||||||||||
|
Perete E | ||||||||||||
|
Perete V | ||||||||||||
|
Plafon | ||||||||||||
|
Pardoseala | ||||||||||||
|
Depozit fructe,legume vin,bere |
Perete N | |||||||||||
|
Perete S | ||||||||||||
|
Perete E | ||||||||||||
|
Perete V | ||||||||||||
|
Plafon | ||||||||||||
|
Pardoseala | ||||||||||||
|
Depozit preparate |
Perete N | |||||||||||
|
Perete S | ||||||||||||
|
Perete E | ||||||||||||
|
Perete V | ||||||||||||
|
Plafon | ||||||||||||
|
Pardoseala | ||||||||||||
Tabelul nr.6
4.2. Stabilirea necesarului de frig tehnologic
pentru procesele de racire si refrigerare
Conform [4] se utilizeaza urmatoarea relatie de calcul:
=
[ m(i
- i
) + (m
c
+ m
c
) + (t
- t
)]
;
unde:
m[kg] = masa produselor refrigerate sau racite introduse in spatiul de racire, respectiv intr-o zi ;
m
, m
[kg] = masa ambalajelor si mijloacelor de transport ce insotesc
produsul pe tot tmpul procesului ;
C
, C
[kJ/kg·K] = caldurile specifice masice ale materialelor
din care sunt confectionate ambalajele si respectiv mijloacele de
transport;
i
, i
[kJ/kg] = entalpiile corespunzatoare temperaturilor initiale
si finale ale produselor supuse procesului de racire ;
h] = durata procesului
de racire;
Necesarul de frig
pentru carne, peste, pasari, preparate si
semipreparate din carne, oua, lactate si branzeturi, vin si
bere, este zero, deoarece aceste produse se depoziteaza in camerele
depozitului in stare congelata, refrigerata sau racita.
La produsele ,,vii'' care in timpul procesului de racire si depozitare isi continua procesele de metabolism, cum este cazul ,,respiratiei'' fructelor si legumelor conservate prin refrigerare, se va lua in considerare caldura de respiratie.
q
[kJ/kg·24h]
degajata de produs.
Valorile
caldurii de respiratie q
pentru
fructe si legume la diferite temperaturi, se gasesc in anexa XXXVIII
din [4].
Calculul necesarului de frig pentru acoperirea caldurii de respiratie este dat in tabelul numarul 7.
=
q![]()
Pentru depozitarea fructelor si legumelor proaspete se utilizeaza 190 ladite din lemn cu capacitatea medie de 25 kg/lada.
Masa unei ladite este de 1 kg/buc. iar a unei lazi de 5 kg/buc ; se utilizeaza 30 asemenea lazi cu capacitatea medie de 25 kg/lada.
Masa ambalajelor :
M
= 340 kg
M
= 0
Pentru 20°C, C
= C
= 2.512 kJ/kg∙K
Entalpiile i
si i
ale fructelor si legumelor sunt din anexa XXXVIII din
[4]
Tabelul numarul 7
|
Nr crt |
Denumirea produsului |
q |
m(t) |
Q |
|
0 |
1 |
2 |
3 |
4 |
|
1 |
Cirese, visine |
5.000 |
0.25 |
1250 |
|
2 |
Piersici |
4.000 |
0.15 |
600 |
|
3 |
Pere |
5.000 |
0.20 |
1.000 |
|
4 |
Mere |
2.000 |
0.25 |
500 |
|
5 |
Capsuni |
6.200 |
0.10 |
620 |
|
6 |
Spanac |
18.500 |
0.10 |
1.850 |
|
7 |
Salata verde |
7.000 |
0.10 |
700 |
|
8 |
Fasole verde |
11.900 |
0.10 |
1.190 |
|
9 |
Castraveti |
3.600 |
0.20 |
720 |
|
10 |
Rosii |
2.100 |
0.25 |
525 |
|
Total |
- |
1.70 |
8.955 |
= 8955 kcal/24h = 37499.9 kJ/24h
Valoarea totala a necesarului de frig tehnologic pentru racirea fructelor, legumelor primite in stare proaspata rezulta din tabelul numarul 8.
Tabelul nr. 8
|
Nr crt |
Denumirea produsului |
m kg |
t [°C] |
t [°C] |
i
|
i
|
m kg |
[h] |
C
|
[kJ/24h] |
[kJ/24h] |
|
Struguri piersici visine cirese | |||||||||||
|
Alte fructe si legume | |||||||||||
|
Total |
|
||||||||||
4.3. Stabilirea necesarului de frig pentru
ventilarea camerelor frigorifice
Necesarul de frig pentru ventilarea camerelor frigorifice cu aer proaspat care trebuie racit si uscat, conform [4] se calculeaza cu relatia:
[kcal/24h]
unde :
a = nr. de schimburi de aer proaspat in camere la 24h
a = (2÷4) schimburi pe zi pentru depozitele de lapte si produse lactate, carne si produse din carne
a = (2÷4) schimburi pe zi pentru depozitele de fructe si legume conservate prin racire
V[m³] = volumul camerelor ventilate
[kg/m³] = densitatea
aerului la temperatura interioara
= entalpia
corespunzatoare temperaturii din exteriorul incaperii
= entalpia
corespunzatoare temperaturii din interiorul camerei
Valoarea initiala a necesarului de frig
rezulta din tabelul nr.9
|
Nr. crt |
Denumirea spatiului frigorific |
Dimensiunile camerei |
a |
[kj/m³] |
Kj/kg |
|
Kj/24h |
||
|
L [m] |
B [m] |
H [m] |
|||||||
|
0 |
1 |
2 |
3 |
4 |
5 |
6 |
7 |
8 |
9 |
|
1 |
Depozit carne |
6 |
6 |
2.4 |
2 |
1.259 |
56.5 |
11 |
9898.761 |
|
2 |
Depozit peste |
3 |
6 |
2.4 |
2 |
1.278 |
56.5 |
5.5 |
5631.379 |
|
3 |
Depozit lactate |
3 |
6 |
2.4 |
2 |
.1.269 |
56.5 |
8 |
5317.617 |
|
4 |
Depozit fructe, vin |
6 |
6 |
2.4 |
1 |
1.242 |
56.5 |
14 |
4560.624 |
|
5 |
Depozit preparate carne |
3 |
6 |
2.4 |
2 |
1.259 |
56.5 |
11 |
4949.380 |
|
6 |
Total |
- |
- |
- |
- |
- |
- |
- |
30357.761 |
Tabelul nr.9
4.4 Stabilirea necesarului de frig pentru acoperirea patrunderilor de caldura in timpul exploatarii spatiilor frigorifice
Conform [4], necesarului de frig pentru acoperirea patrunderilor de caldura in timpul exploatarii spatiilor frigorifice se stabileste cu relatia:
![]()
Relatia se aplica separat pentru
la aparate respectiv
la compresoare considerand in mod
corespunzator
la aparate si
la compresare .
In tabelul 10 s-a calculat valoarea necesarului de frig
si
pentru fiecare camera
frigorifica.
4.5 Stabilirea necesarului zilnic de frig
si a puterii frigorifice a instalatiei
Sarcina frigorifica a instalatiei se calculeaza astfel:
a) Pentru racirea directa :
= 1.05
[kj/24h]
S-a majorat necesarul de frig cu 5% la racirea directa pentru a se lua in considerare si patrunderile de caldura pe traseul de conducte si la vaporizator.
b) Pentru racirea indirecta :
[kj/24h]
S-a majorat necesarul de frig cu 20% la racirea indirecta pentru a se tine seama de consumul suplimentar de frig pe circuitul secundar de vehiculare a agentului intermediar, patrunderile de caldura la bazinele de racire a agentilor intermediari, aportul de energie introdus de pompele de vehiculare a agentului intermediar, etc, elemente neconsiderate la stabilirea necesarului de frig
[h] =
durata de functionare a compresoarelor
Pentru depozite se considera 20÷22h/24h, fiind necesare 2÷4h/24h intreruperile pentru reparatii de intretinere.
Valorile necesarului de frig zilnic si a puterii frigorifice pentru fiecare camera frigorifica precum si toata instalatia au fost calculate in tabelul nr.11.
Exemplu de calcul a sarcinii frigorifice pentru depozitul de carne :
=
22h
= 389809.75 kj/24h
=
18604.556 kj/h = 5.1679 kW
=
21262.35 kj/h = 5.9061 kW
|
Nr crt. |
Denumirea spatiului frigorific |
|
[kJ/24h] |
[kJ/24h] |
|
Q [kJ/h] |
|
|||
|
[kJ/24h] |
[kJ/24h] |
[kJ/24h] |
[kJ/24h] |
[kW] |
[kW] |
|||||
|
Depozit carne | ||||||||||
|
Depozit peste | ||||||||||
|
Depozit lactate | ||||||||||
|
Depozit fructe, vin | ||||||||||
|
Depozit preparate carne | ||||||||||
|
Total | ||||||||||
Tabelul nr.11
CAPITOLUL 5
STUDIUL VARIANTELOR DE INSTALATII
FRIGORIFICE CU COMPRIMARE MECANICA DE
VAPORI COMPATIBILE CU DATELE DE PROIECTARE
Obtinerea de temperaturi situate in intervalul -20÷ - 90sC se realizeaza in mod obisnuit cu ajutorul instalatiilor frigorifice cu vapori care pot fi cu comprimare intr-o treapta, cu comprimare in doua trepte, cu comprimare in trei trepte si in cascada.
Cele mai sigure instalatii frigorifice, cu comprimare intr-o singura treapta au fost si sunt utilizate pentru scaderea temperaturii pana la -20÷-30sC.
Instalatiile cu comprimare mecanica de vapori intr-o singura treapta sunt alcatuite in genral dintr-un vaporizator compresor, condensator, ventil de laminare. Pentru imbunatatirea economicitatii instalatiei frigorifice se introduce in schema instalatiei un schimbator de caldura intern sau un subracitor care are rolul de a reduce temperatura agentului frigorific condensat sub temperatura de condensare.
Instalatiile frigorifce cu comprimare mecanica de vapori folosesc ca agenti frigorifici amoniacul si freonii.
Amoniacul este utilizat pe scara larga in instalatiile frigorifice, datorita avantajelor pe care le prezinta:
solubilitate redusa in ulei;
volum specific mic la temperaturile de vaporizare uzuale;
usurinta depistarii scaparilor de amoniac datorita mirosului specific;
nu exercita actiuni corozive asupra uleiului, dar in prezenta apei ataca zincul, cuprul, bronzul, alte aliaje pe baza de cupru cu exceptia bronzului fosforos;
Dintre dezavantaje mentionam faptul ca este toxic si exploziv.
Avantajele pe care le prezinta freonii sunt urmatoarele:
nu sunt toxici;
au inflamabilitate redusa si sunt neexplozivi;
prezinta neutralitate chimica;
au exponenti adiabatici mici si determina temperaturi de comprimare reduse;
Dezavantajele freonilor constau in:
vascozitate foarte redusa care favorizeaza scaparile de agent;
solubilitate reciproca cu uleiul care se accentueaza la marirea presiunii si reducerea temperaturii freonului;
au o densitate mai ridicata ceea ce determina cresterea rezistentelor hidraulice la circulatia lor prin conducte .
In vederea alegerii unei variante optime de instalatie
frigorifica cu CMV compatibila cu datele de proiectare, pentru
temperature de vaporizare de -10÷-15sC vom lua in studiu: NH
; R-407A;R-410A;R
134a;R 152a.
5.1. Varianta de instalatie frigorifica cu CMV
intr-o treapta cu racire indirecta cu amoniac
Instalatiile frigorifice cu racire indirecta, sunt
instalatiile in care racirea aerului din spatiile frigorifice se
realizeaza prin intermediul unui agent intermediar lichid, de obicei acest
agent fiind CaCl
5.1.1 Stabilirea parametrilor ciclului,
a temperaturii de condensare si vaporizare
Temperatura saramurii care circula prin bateriile de racire se determina astfel:
t
= t
-
t![]()
unde:
t
= -2sC
t
4÷6sC (grd)
t
= -8sC
Temperatura de vaporizare se determina cu relatia:
t
= t
- (5÷7)sC
t
= -8-7 = -15sC
Temperatura de condensare
t
= t
+(5÷10)sC
unde:
t
=30sC
Din tabelele cu proprietatile termodinamice ale NH
la saturatie
din [5]:
t
= -15sC p
= 0.2363 MP
= 2.363 bar
t
=30sC p
=1.169 MP
=11.69 bar
Tipul instalatiei frigorifice cu comprimare mecanica de vapori, rezulta din valoarea raportului de compresie H, care se determina astfel:
H=![]()
= 4.94 < 8
conform [5] avem o instalatie frigorifica intr-o treapta
Schema instalatiei frigorifice intr-o treapta, precum si ciclul teoretic de functionare reprezentat in diagramele T-9 si lgp-i sunt aratate in figura 6.
Parametrii de stare ai amoniacului sunt:
t[sC] = temperatura;
p[bar] = presiunea;
i[kJ/kg] = entalpia;
v[m³/kg] = volumul specific;
s[kJ/kg · K] = entalpia;


Figura nr. 6
Tabelul nr.12
|
Starea Parametrul |
1 |
2 |
2 |
3 |
3 |
4 |
|
0 |
6 |
|||||
|
t[sC] |
-15 |
|||||
|
p[bar] |
2.363 |
|||||
|
i[kJ/kg] |
235 |
|||||
|
s[kJ/kg] |
-0.96 |
|||||
|
V[m³/kg] |
0.506 |
0.145 |
0.109 |
1.68·10 |
1.5·10 |
0.07 |
5.1.2. Calculul schimburilor energetice specifice
ale ciclului teoretic al instalatiei
Pe baza valorilor parametrilor din tabelul nr 12 se calculeaza schimburile de caldura energetice specifice si lucrul mecanic al agentului.
puterea frigorifica specifica a agentului:
q
= i
- i
= 1128.14 kJ/kg
lucrul mecanic tehnic specific de comprimare:
|l
| = i
- i
= 227.86 kJ/kg
sarcina termica specifica frigorifica a agentului la condensare:
|q
| = i
- i
= 1326.22 kJ/kg
puterea specifica frigorifica a subracitorului:
q
= i
- i
= 29.78 kJ/kg
Verificarea bilantului energetic al ciclului:
q
+ |l
| = |q
| + q
= 1356 kJ/kg;
Bilantul se verifica.
debitul masic al agentului frigorific este
m
=
unde:
= 24.408 KW
valoare calculata la subcapitolul 4.5.
Obtinem: m
= 0.02163
kg/s = 77.88 kg/h
eficienta frigorifica a ciclului instalatiei:
E
randamentul energetic:

5.2 Varianta de instalatie frigorifica cu CMV
cu racire directa cu R-407c
Instalatiile frigorifice cu racire directa sunt instalatiile la care racirea produselor se realizeaza direct la vaporizator sau prin aerul racit la vaporizator.
5.2.1. Stabilirea parametrilor ciclului, a
temperaturii de condensare si vaporizare
Temperatura de vaporizare se calculeaza astfel:
t
= t
- (5÷8) grd
unde:
t
= -2sC
t
= -2-8 =
-10sC
Temperatura de condensare:
t
= t
+ (5÷10) grd
t
= 22sC
t
= 30sC
Din tabelel diagrama lgp-i pentru agentul R-407c rezulta
t
= -10sC p
= 3.52 bar
t
= 30sC
p
= 12.5 bar
Raportul de comprimare :
H=
instalatie intr-o treapta
de comprimare
Schema instalatiei si ciclul teoretic reprezentat in diagramele T-S; lgp-i sunt aratate in figura nr 7.
Parametrii de stare ai agentului 407c in punctele caracteristice ciclului se citesc in diagrama lgp-i din [5] si se gasesc sintetizati in tabelul nr 13.


Figura nr.7
Tabelul nr.13
|
Starea Parametrul |
1 |
1 |
2 |
2 |
3 |
3 |
4 |
|
0 |
7 |
||||||
|
t[sC] |
-10 |
||||||
|
p[bar] |
3.52 |
||||||
|
i[kJ/kg] |
239 |
||||||
|
s[kJ/kg] |
4.095 |
||||||
|
v[m³/kg] |
0.07 |
0.075 |
0.024 |
0.021 |
|
|
5.2.2. Calculul schimburilor energetice
specifice ale ciclului teoretic al instalatiei
Pe baza valorilor parametrilor din tabelul 13 se calculeaza schimburile energetice specifice sub forma de caldura si lucru mecanic ale agentului frigorific:
puterea frigorifica specifica a agentului:
q
= i
- i
= 171 kJ/kg
lucrul mecanic tehnic specific de comprimare:
|l
| = i
- i
= 36 kJ/kg
sarcina specifica tehnica a agentului la condensare:
q
= i
- i
= 202 kJ/kg
puterea frigorifica specifica schimbatorului intern de caldura:
q
= i
- i
= 9 kJ/kg
Verificarea bilantului energetic al ciclului:
l
+ q
= q
36+171=207 kJ/kg
Bilantul se verifica
debitul masic de agent frigorific
m
=
unde:
= 21.357 KW
(valoare calculata la subcapitolul 4.5.)
Obtinem: m
=
0.1249 kg/s = 449.6 kg/h
eficienta frigorifica a ciclului teoretic instalatiei este:
E
-randamentul energetic

5.3. Varianta de instalatie cu CMV
functionand cu R-410A
Din tabelele cu proprietati termodinamice pentru R-410A la saturatie rezulta:
t
= -10sC p
= 5.7 bar
t
= 30sC p
=18 bar
H =
= 3.16<8 instalate intr-o treapta
5.3.1. Stabilirea parametrilor si a schimburilor
energetice specifice ale ciclului teoretic al instalatiei
Schema instalatiei si dfiagramele sunt aceleasi ca in figura 7. Parametrii agentului R-410A in puctele caracteristice ciclului se citesc din diagrama lgp-i din [5] si sunt trecuti in tabelul nr 14.
Tabelul nr 14
|
Starea Parametrul |
1 |
1 |
2 |
2 |
3 |
3 |
4 |
|
0 |
7 |
||||||
|
t[sC] |
-10 |
||||||
|
p[bar] |
5.7 |
||||||
|
i[kJ/kg] |
240 |
||||||
|
s[kJ/kg] |
1.15 |
||||||
|
v[m³/kg] |
0.046 |
00.48 |
0.017 |
0.0135 |
0.5·10 |
0.4·10 |
0.011 |
Pe baza valorilor parametrilor din tabelul nr 14 se calculeaza schimburile energetice specifice sub forma de caldura si lucru mecanic ale agentului frigorific:
q
= i
- i
= 180 kJ/kg
|l
| = i
- i
= 36 kJ/kg
q
= i
- i
= 214 kJ/kg
q
= i
- i
= 10 kJ/kg
Verificarea bilantului energetic al ciclului:
|q
| = q
+ |l
| = 214 kJ/kg;
Bilantul se verifica.
debitul masic al agentului frigorific este
m
= 0.119 kg/s
= 428.4 kg/h
Eficienta frigorifica a ciclului instalatiei:
E
Randamentul energetic:

5.4. Varianta de instalatie frigorifica cu CMV
functionand cu R134a
t
= -10sC p
= 2.0 bar
t
= 30sC p
=7.7 bar
H = p
/ p
= 3.85<8
Conform [5] se foloseste o instalatie frigorifica intr-o treapta. Schema instalatiei frigorifice, precum si ciclul teoretic de functionare reprezentat in diagramele T-s si lgp-i sunt aceleasi ca in figura 7.
Parametrii de stare ai agentuluiR134a in punctele caracteristice ciclului se citesc in diagrama lgp-i din [14] si se gasesc sintetizati in tabelul nr. 15.
Tabelul numarul 15
|
Starea Parametrul |
1 |
1 |
2 |
2 |
3 |
3 |
4 |
|
0 |
7 |
||||||
|
t |
-10 |
||||||
|
p |
2.0 |
||||||
|
i |
235 |
||||||
|
s |
- |
||||||
|
v |
0.10 |
0.11 |
0.0277 |
0.027 |
- |
- |
- |
Pe baza valorilor parametrilor din tabelul nr 15 se calculeaza schimburile energetice specifice sub forma de caldura si lucru mecanic ale agentului frigorific:
q
= i
- i
= 157 kJ/kg
|l
| = i
- i
= 27 kJ/kg
q
= i
- i
= 183 kJ/kg
q
= 7 kJ/kg
Verificarea bilantului energetic al ciclului:
|q
| = q
+ |l
| = 183 kJ/kg;
Bilantul se verifica.
debitul masic al agentului frigorific este
m
= 0.136 kg/s
= 489.6 kg/h
Eficienta frigorifica a ciclului instalatiei:
E
Randamentul energetic:
5.5 Varianta de instalatie frigorifica cu CMV
functionand cu R152a
Aceasta varianta a fost analizata pe calculator folosind entalpiile agentului din diagrama lgp-i:
i
= 351 KJ/Kg
i
= 407.52
KJ/Kg
i
= 356.22
KJ/Kg
i
= 125 KJ/Kg
i
= 119.78
KJ/Kg
i
= 119.78
KJ/Kg
Cunoscand aceste date obtinem:
q
= i
- i
= 231.22
KJ/Kg
|l
| = i
- i
= 51.37
KJ/Kg
q
= i
- i
= 282.59
KJ/Kg
q
= i
- i
= 5.22 KJ/Kg
Verificarea bilantului energetic al ciclului:
|q
| = q
+ |l
| = 282.59 KJ/Kg;
Eficienta frigorifica a ciclului : E
Randamentul energetic:

CAPITOLUL 6
ALEGEREA UNEI VARIANTE OPTIME DE INSTALATIE
IN URMA UNEI ANALIZE TEHNICO-ECONOMICE
Calculele tuturor variantelor prezentate in capitolul anterior au fost sintetizate in tabelul numarul 17.
![]()
Tabelul numarul 17
|
Caracteristica ciclu |
Agenti frigorifici |
||||
|
NH |
R-407A |
R-410A |
R134a |
R152a |
|
|
0 |
1 |
2 |
3 |
4 |
5 |
|
t |
-15 |
-10 |
-10 |
-10 |
-10 |
|
t |
30 |
30 |
30 |
30 |
30 |
|
q |
1128.14 |
171 |
180 |
157 |
231.22 |
|
m |
77.88 |
449.6 |
424.8 |
489.6 |
322.51 |
|
|l |
227.86 |
36 |
36 |
27 |
51.37 |
|
|q |
1326.22 |
202 |
214 |
183 |
282.59 |
|
q |
29.78 |
9 |
10 |
7 |
5.22 |
|
|
4.95 |
4.75 |
5 |
5.82 |
4.501 |
|
|
0.512 |
0.507 |
0.501 |
0.65 |
0.55 |
Analizand din punct de vedere tehnico-economic variantele studiate am optat pentru varianta functionand cu R134a, aceasta varianta avand cea mai buna eficienta frigorifica si cel mai bun randament energetic.
CAPITOLUL 7
PROIECTAREA SCHIMBATORULUI INTERN DE CALDURA CU SERPENTINA
Schimbatorul intern de caldura are rolul de a reduce temperatura agentului frigorific condensat,sub temperatura de condesare in scopul imbunatatirii economicitatii instalatiei frigorifice.
In acest aparat, agentul lichid care provine de la condensator cedeaza caldura vaporilor aspirati de compresor astfel incat nu au loc pierderi de caldura la exterior.
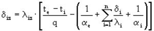
7.1 Calculul variatiei de temperatura a agentului care circula prin aparat
Diferenta medie logaritmica de temperatura se calculeaza in relatia:


unde:
-![]()
-![]()
in care:
= temperatura
lichidului la iesirea din schimbator
= temperatura
agentului vapori la intrarea in schimbator
= temperatura
vaporilor de agent la iesire
= temperatura
agentului lichid la intrarea schimbator
![]()

= 25 °C

![]()
![]()
![]()
![]()
Conform [6] temperatura lichidului are valoarea :

Temperatura vaporilor de agent frigorific are valoarea:

Din [7] am extras valorile proprietatilor fizice ale R-134a la saturatie atat in stare lichida cat si in stare de vapori.Proprietatile fizice ale R-134a lichid se gasesc in tabelul nr.18 iar pentru R-143a vapori in tabelul nr.19
Tabelul nr.18
|
[°C] |
[kg/m |
[kj/kgK] |
[kj/kgK] |
[Pa·s] |
[m |
|
|
Tabelul nr.19
|
[°C] |
[kg/m |
[kj/kgK] |
[kj/kgK] |
[Pa·s] |
[m |
|
|
7.2. Calculul
termic al schimbatorului
intern de caldura
Schimbatorul intern de caldura este format dintr-o manta cilindrica in interiorul careia e introdusa serpentina infasurata pe un tambur.
Agentul frigorific lichid circula prin interiorul serpentinei, in acest fel putandu-se realiza o indepartare mai usoara a impuritatilor depuse in timpul functionarii in interiorul tevii. Vaporii de agent frigorific circula in spatiul dintre serpentina si manta in contracurent cu agentul frigorific lichid care circula prin teava serpentinei.
7.2.1. Calculul regimului de curgere
pentru R-134 a lichid
Din STAS - 530/
- 80 pentru tevi din otel fara
sudura, laminate la rece se adopta teava pentru serpentina ![]()
![]()
Conform [6] diamterul exterior al tamburului trebuie sa indeplineasca relatia:
D
>(8÷10) d
unde d
= diametrul
exterior al tevii serpentinei;
d
= 0.018 m
Din STAS - 404/
- 80 aleg pentru tambur o teava
.
Regimul de curgere pentru R-134 a lichid se stabileste pe baza criteriului Reynolds:

Unde W
este viteza
recalculata a agentului
frigorific lichid prin teava serpentinei;
w
![]()
Unde m
= 0.1249 kg/s
debitul masic de agent frigorific lichid care circula prin teava
serpentinei
1181.8 kg/m
, desitatea agentului lichid ;
d
= 0.016 m, diametrul interior al tevii;
n = numarul de serpentine:
vascozitatea
cinematica;
Numarul de serpentine n se determina din ecuatia continuitatii

w
= viteza de curgere a agentului frigorific lichid; se
recomanda w
= 0.3÷0.5 m/s
Obtinem n=0.95
n=1 serpentina
w
=0.52 m/s
Re
avem un regim turbulent
Coeficientul de conventie
se calculeaza cu
relatia:

Unde:
w/mk
d
m
Nu
=0.021 Re![]()
In care: Re![]()
Pr
=3.5
= coeficientul ce tine cont de forma serpentinei
Pentru a calcula valoarea lui
se calculeaza mai
intii Re
= 18500
Unde R
- raza serpentinei
R
Re![]()
Conform [6]
=1+1.77![]()
Se obtine apoi:
Nu![]()
![]()
7.2.2. Calculul regimului de curgere
pentru R-134 a vapori
Calculul se desfasoara analog subcapitolului precedent
Unde: w
- viteza vaporilor de agent frigorific in interiorul
aparatului
d
m
![]()
w
in care: m
debitul de agent vapori
17.142 kg/m![]()
S = suprafata de circulatie a vaporilor de agent frigorific
= ![]()
Unde: D
diametrul exterior al tamburului
R
0.084 m
D
= diametrul interior al mantalei care rezulta din
ecuatia de continuitate

w
se recomanda w
=8÷10 m/s
Conform ecuatiei de continuitate
= 
Deci:

Din STAS 404/
se alege o teava pentru manta
. Se obtine:
D![]()
Inlocuind datele existente in formula lui S de mai sus obtinem:
![]()
7.41![]()
Recalculand viteza obtinem:
w
Re
regimul este turbulent
Coeficientul de conventie
se calculeaza cu relatia

Coeficientul de conventie va fi deci in functie de Re
si Pr
deoarece Nu![]()
Astfel:
Nu![]()
si astfel:
l
Se poate calcula astfel coeficientul global de schimb de caldura, cu relatia:
k
unde: ![]()
![]()
d![]()
d![]()
![]()
![]()
Si desi, calculand K
Suprafata de schimb de caldura, este data de relatia:
S
q![]()
Din calcul S![]()
S![]()
7.3 Calculul constructiv
Lungimea tevii serpentinei
L=S![]()
Lungimea unei spire
L![]()
Numarul de spire al serpentinei
spire
Recalcularea lungimii tevii serpentinei
L=L![]()
Pasul dintre spire
S![]()
Inaltimea serpentinei
H![]()
Inaltimea tamburului
H![]()
Inaltimea unui capac eliptic
H![]()
Inaltimea aparatului
H=H![]()
7.4. Calculul fluidodinamic
7.4.1. Calculul pierderilor de presiune in
interiorul tevii serpentinei
Pierderile liniare de presiune prin frecare se calculeaza cu formula lui Darcy:

Unde:
coeficient de piederi liniare de sarcina prin frecare;
1181,8 kg/m![]()
w=0.5 m/s
l=lungimea tevii serpentinei = 11.076 m
d![]()
Re=489411>2300; regim de curgere turbulent.
Se tine cont de grosimea stratului limita
care se calculeaza cu relatia:

Pentru 2300<Re<10
se calculeaza cu relatia lui Blazius:
![]()
![]()
Grosimea stratului limita se compara cu rugozitatea absoluta
K(3÷10)
. Se observa ca
deci grosimea fiind mai mare decat rugozitatea absoluta
regimul de curgere va fi turbulent neted.
Pierderile de presiune
![]()
7.4.2. Calculul pierderilor de presiune de
partea vaporilor
In acest caz se utilizeaza o formula specifica acestei curgeri a gazului in spatiul dintre manta si tevi a schimbatorului de caldura cu tevi elicoidale:
![]()
Unde: m
= numarul de randuri de tevi de-a lungul curentului
m![]()
w= 9.832 m/s
![]()
Re![]()
![]()
7.5. Calculul de rezistenta al schimbatorului
de caldura cu serpentina
7.5.1. Calculul de verificare a grosimii
recipientului la presiunea de incercare
Mantaua aparatului respectiv este confectionata din
teava de otel OL 37.2 k
STAS 404/2-80,
6, cu lungimea L=410 mm. Compozitia chimica a
acestui material este urmatoarea: C=0.18%, Si=0.37%, P=0.05%, S=0.05%
Caracteristici mecanice:
rezistenta
de rupere la tractiune R![]()
limita
de curgere R![]()
limita
de curgere la temperatura de calcul ![]()
rezistenta KCU=68 la t=20°C
Grosimea de proiectare:
Sp=![]()
Unde:
p
presiunea de calcul p![]()
D= diametrul interior al mantalei D=207 mm
efortul unitar
admisibil
z = coeficient de rezilienta a imbinarii sudate z = 0.6
c
adaos pentru conditii de exploatare c
2 mm
c
adaos pentru rotunjire c
0.6 mm
Deci: Sp=4.6 mm;
Se adopta grosimea nominala S=6 m;
Conform normelor ISCIR presiunea de incercare este de 25 bar si trebuie sa se indeplineasca conditia:
![]()
P
![]()
Grosimea de proiectare:
Sp=![]()
Unde: p![]()
![]()
c![]()
c![]()
z=0.8 (procedeu de sudare cu arc electric pe o fata, cu inel)
Prin urmare Sp= 4.53 mm
Se adopta Sp= 6 mm
![]()
![]()
Deci ![]()
7.5.2. Calculul imbinarii cu flansa de la manta
Pentru flansa din figura a fost aleasa din STAS o garnitura din marsit cu urmatoarele dimensiuni:
Fig.10.

diametrul
interior: D![]()
diametrul
exterior: D![]()
grosimea g=1 mm;
a)
Determinarea
lui b
, b si D![]()
Pentru b
<
0.63 cm se aplica
relatia b= b![]()
D
=![]()
b) Valorile fortelor ce actioeaza asupra imbinarii
F
= forta totala necesara pentru realizarea
presiunii de strangere a garniturii (daN)
F
q=260 daN/cm![]()
q= presiunea specifica de strangere a garniturii
F
daN
F
= forta totala de compresiune aplicata pe zona
eficace de calcul a suprafetei de etansare (daN)
F
mp![]()
p
bar= 16.32 kg f/cm![]()
m= coeficient specific grosimii ![]()
F= forta totala rezultata din aplicarea presiunii pe aria
determinata de D
; [daN]
F![]()
F
forta totala rezultata din aplicarea presiunii
pe aria determinata de D [dan]
F![]()
F![]()
c) Ariile sectiunilor suruburilor:
A
aria totala a sectiunilor transversale ale
suruburilor determinate la fundul filetului sau in zona celui mai mic
diametru, necesara in conditiile de strangere a garniturii
A![]()
Unde:
efortul unitar admisibil pentru materialul suruburilor
la 20°C
112 N/mm![]()
A![]()
A
aria totala a sectiunilor transversale ale
suruburilor determinate la fundul filetului
A![]()

A![]()
A
;
Unde: n=12=numarul de suruburi
A![]()
d
diametrul surubului M20 la fundul filetului de 18 mm
;
![]()
d) Solictarea garniturii pentru conditii de strangere
B
B![]()
Unde: B
latimea de strangere a garniturii
B
8,4 mm
B
mm conditia se verifica
e) Valoarea momentului de incovoiere pentru conditiile de strangere
p
forta de calcul din suruburi (N)
p
p
235312 N
O
distanta radiala dintre cercul de asezare al
suruburilor si cercul pe care este repartizata forta
, [mm];
; D
diametrul cercului de asezare al surubului;
D
295 mm;
a
23 mm:
M
momentul de incovoiere rezultat din actiunea fortei
p
;
M![]()
f) Valoarea momentului de incovoiere pentru conditiile de exploatare:
a
distanta radiala dintre cercul de asezare al
suruburilor si cercul pe care e repartizata forta F
(mm)
a
pentru flanse de tipul celei din figura;
a
38 mm;
a
distanta radiala dintre cercul de asezare al
suruburilor si cercul pe care e repartizata forta F
[mm]
a
;
M
momentul de incovoiere total care apare in conditii de
exploatare:
M![]()
g) Valoarea de calcul a momentului de incovoiere, este cea mai mica valoare obtinuta din relatiile:
si
Deci ![]()
h) Factorii de forma ai flansei:
;
factor liniar [cm]
L= lungimea gatului flansei: [cm]
grosimea de proiectare a gatului flansei la capatul
dinspre taler;[cm]
; ![]()
![]()
grosimea de proiectare
a gatului flansei la capatul dinspre recipient; [cm]
![]()
i) Valorile coeficientilor U, T, Y, Z
Din prescriptiile C4-79 ISCIR, in functie de valoarea lui K s-au determinat:
U = 5,09;
T = 1,69;
Y = 4,63;
Z = 2,44;
j)
Valorile
coeficientilor
,
,![]()
Din prescriptiile C4-79 ISCIR, in functie de raportul
,
, s-au determinat:
= factor de corectie a efortului unitar in directia
axiala = 1
si
= factori de forma pentru flansa de tip integral;
= 0,908;
= 0,55
factor de corectie a pasului surubului

Momentul maxim unitar
[N] = 0.161![]()
Factorii de forma a flansei
,
, ![]()
=![]()
![]()
=![]()
![]()
k) Valorile eforturilor unitare
![]()
efortul unitar normal in directia tangentiala
![]()
Efortul unitar normal in directie radiala si axiala este nul pentru acest tip de flansa. Conditiile fiind indeplinite, dimensionarea flansei se considera corespunzatoare.
7.6. Stabilirea gabaritului si masei aparatului
Masa mantalei, fara capace este de 26.8 kg/m.
Pentru lungimea de 528 mm ![]()
Masa tamburuui este de 10.5 kg/m.
Pentru lungimea de 428 mm ![]()
Masa serpentinei este de 0.95 kg/m
Lungimea totala a tevii serpentinei L=11.387 m
M
= 10.817 kg
Masa fundului este egala cu masa capacului
![]()
Masa racord intrare R22 lichid
;
Masa racord iesire R22 lichid
;
Masa racord intrare R22 vapori
;
Masa racord iesire R22 vapori
;
Consideram ca celelalte organe auxiliare cantaresc cca 3÷5% din totalul greutatii celorlalte elemente cunoscute:
![]()
![]()
![]()
Masa totala a aparatului
![]()
CAPITOLUL 8
ALEGEREA APARATELOR SI MASINILOR
8.1. Alegerea aparatelor pentru instalatia frigorifica
cu CMV intr-o treapta cu R-134a
1. Alegerea compresorului si a condensatorului
Alegerea compresorului se face in functie de debitul volumic de agent aspirat. Debitul volumic real aspirat de compresor este:
![]()
Debitul volumic teoretic
![]()
unde
coeficientul de reducere a debitului
![]()
Pentru instalatia proiectata voi alege un grup compresor - condensator TGCCX - 80 insa pentru asigurarea functionarii neintrerupte a instalatiei se pot folosi doua grupuri TGCCX - 80.
Grupurile compresor - condensator sunt utilaje complexe care cuprind in constructia lor: compresor, condensator, separator de ulei, robinete, panouri cu aparate de masura si protectie, conducte de legatura cat si scheletul pe care se monteaza toate subansamblele.
Conform fisei tehnice elaborate de intreprinderea constructoare TEHNOFRIG - CLUJ-NAPOCA, grupul TGCCX - 80 prezinta urmatoarele caracteristici tehnice:
Puterea frigorifica nominala la -35/+30°C 6000 kcal/h
Compresor frigorific
Asezarea cilindrilor verticala
Numarul cilindrilor 2
Diametrul cilindrilor 120 mm
Cursa pistonului 100 mm
Turatia 650 rot![]()
Cilindreea 80 m![]()
Agent frigorific R-143a
Cantitatea de ulei introdusa 6.25 kg
Felul uleiului F 17
Condensator multitubular orizontal
Tipul TCMOX-3.15
Agent frigorific R-143a
Suprafata nominala exterioara 3.15m![]()
8%
de racire
Felul tevilor nervurata
Numarul total de tevi 20
Numarul trecerilor de apa 4
Debitul
necesar de apa de racire 2.5m
/h
Presiunea maxima a apei la racire 4 bar
Presiunea nominala R-143a 16 bar
Temperatura apei de racire la intrare 22°C
respectiv la iesire 27°C
Dimensiunea de gabarit
Lungimea 1215 mm
Latimea 650 mm
Inaltimea 1025 mm
Masa neta 450 kg
Puterea instalata 11 Kw
|
Simbol |
Functia |
buc |
Racord |
Teava |
Suprafata de etansare |
|
|
Dn |
Pn |
|||||
|
|
Aspiratie vapori R-143a |
|
lipire |
|||
|
|
Umplere sau evacuare ulei |
|
evazare |
|||
|
|
Intrare apa de racire la cond. |
|
| |||
|
|
Iesire apa de racire cond. |
|
| |||
|
|
Iesire lichid |
|
lipire |
|||
|
|
Aerisire |
dop M12 |
||||
|
|
Intrare apa de iesire compresor |
|
sudare |
|||
|
|
Iesire apa de racire compresor |
|
sudare |
|||
2. Alegerea vaporizatoarelor
Aceasta se face in functie de suprafata de schimb de caldura care se calculeaza cu relatia
;

unde:
-
= puterea frigorifica necesara pentru racirea camerelor depozitului frigorific ; [w]
- k = coeficientul global de schimb de caldura al vaporizatorului; [w/m
k]
Pentru spatiile frigorifice ale depozitului
proiectat voi alege baterii de racire de perete, care conform [14] , au
valori pentru k in intervalul (7.8÷9.1 w/m
k)
= diferenta medie de temperatura dintre
agent si temperatura aerului din camera frigorifica.
Valoarea lui
se calculeaza
pentru fiecare spatiu frigorific in parte
1). Depozit carne :
= 5.1679

k
= 8.5 w/m
K
= 43.77 m![]()
Din [13] se aleg doua baterii de racire
PTA - 60*2*2 cu suprafata de schimb de caldura de 14 m
si o baterie PTA - 60*2*2.5 cu suprafata de schimb
de caldura de 17.2 m![]()
2). Depozit carne preparate
w
![]()
![]()
Din [13] aleg 2 PTA - 60*2*2 (14 m
)
3). Depozit peste:
![]()
![]()
m![]()
Din [13] aleg 2 PTA - 60*2*2 (14 m
) si PTA - 60*2*1.5 (10.4 m
)
4). Depozit lactate:
![]()
grd
![]()
Din [13] aleg 2 PTA - 60*2*2.5 (17.2 m
)
5). Depozit fructe
![]()
grd
![]()
aleg 3 PTA - 60*2*2
(17.2 m
)
3. Alegerea rezervorului instalatiei
Rezervorul pentru agentul lichid se alege in functie de volumul de agent care circula prin instalatie intr-o ora, volum care se calculeaza cu relatia:

unde: m
debitul masic de agent frigorific [kg/h]
m
449.64 kg/h
densitatea agentului
lichid
kg/![]()
Prin urmare V=251.26 e/h
Din [13] aleg rezervor RA-600 cu caracteristicile prezentate in fisa tehnica.
CAPITOLUL 9
CALCULUL PRINCIPALELOR CONDUCTE SI
IZOLAREA ACESTORA
Diametrul interior al conductelor rezulta din ecuatia de continuitate:

unde:
d
diametrul interior al conductei;
w= viteza conductelor;
m
debitul masic de agent;
densitatea agentului;
Deci: ![]()
Conform [10] vitezele au urmatoarele valori:
pentru vapori: aspiratie 3÷12 m/s
refulare 2
6 m/s
pentru lichid: aspiratie .03÷0.7 m/s
refulare 0.5
1.5 m/s
Din STAS 523-74, pentru instalatia frigorifica proiectata, functionand cu R 134a am ales tevi din Cu, dupa cum urmeaza:
statia de distributie Sd:w
0.3 m/s
d= 0.026 m; aleg
3;
colectorul de vapori Cv: w
8 m/s;
d= 0.056 m; aleg
4;
colectorul de vapori - schimbatorul de caldura in
aceleasi conditii de calcul d= 0.043![]()
![]()
schimbatorul de caldura - grup compresor - condensator d=
0.045 m ![]()
grup compresor - condensator - rezervor:
m![]()
![]()
rezervor - schimbator de caldura
![]()
schimbatorul de caldura - statie de distributie
![]()
Alegerea conductelor intre statia de distributie si bateriile de racire
Depozit carne :
![]()
![]()
Depozit peste:
![]()
![]()
3. Depozit lactate:
![]()
![]()
4. Depozit fructe:
![]()
![]()
5. Depozit preparate de carne:
m
![]()
Alegere conductelor dintre bateriile de racire si colectorul de vapori:
Depozit carne : ![]()
Depozit peste: ![]()
3. Depozit lactate:
4. Depozit fructe: ![]()
5. Depozit preparate de carne: ![]()
Se izoleaza numai conductele prin care circula vaporii de agent inclusiv colectorul de vapori, cu semicochila din polisteren cu urmatoarele dimensiuni:
|
SIMBOL |
Diametrul exterior al tevii [mm] |
Grosimea semicochilei |
Suprafata de izolatie |
|
SPE 80-65 | |||
|
SPE 80-48 | |||
|
SPE 80-57 | |||
|
SPE 80-38 | |||
|
SPE 80-32 | |||
|
SPE 80-45 |
CAPITOLUL 10
CENTRALA FRIGORIFICA
Centrala frigorifica este incaperea destinata montarii compresoarelor frigorifice si aspectelor auxiliare. De regula centrala frigorifica constituie un corp de cladire separat fata de restul frigoriferului. La amplasarea si constructia centralei frigorifice se vor avea in vedere toate normativele si prescriptiile in vigoare precum si instructiunile tehnice ICSMI - ISCIR. Sistemul constructiv cel mai indicat este cel cu ziduri si stalpi de beton armat inglobati in zidarie.
Inaltimea salii masinilor va fi in general de 4.2 m. In cazul in care anumite aparate car o inaltime de montaj mai mare, inaltimea se va mari corespunzator.
La dimensionarea planseului pardoselii in afara de greutatea masinilor si aparatelor, se vor avea in vedere si eforturile dinamice produde de masinile in miscare, ale caror postamente sunt asezate direct pe planseul pardoselii.
In general, toate masinile ce pot da vibratii vor avea postamente astfel construite incat sa se evite transmiterea vibratiilor la pardoseala.
Se vor avea in vedere sisteme speciale de prindere a conductelor, care vor fi luate in calcul de rezistenta al constructiei.
Dimensionarea centralei frigorifice se face in functie de gabaritele masinilor si aparatelor si de spatiile pentru supravegherea si exploatarea masinilor si aparatelor precum si pentru demontare si operatii de intretinere.
Astfel, distanta dintre compresoare este in functie de spatiul necesar demontarii vibrochenului, a aparatelor anexa, care se monteaza in jurul lor (separator de ulei, reostat de pornire, etc.)si a spatiitor necesare manevrarii; de asemenea intre sirurile de compresoare se vor lasa culoare necesare demontarii si scoaterii compresoarelor din sala masinilor.
Copyright © 2025 - Toate drepturile rezervate
| Instalatii | |||
|
|||
|
| |||
|
| |||
|
|
|||