![]() | Biologie | Chimie | Didactica | Fizica | Geografie | Informatica |
| Istorie | Literatura | Matematica | Psihologie |
Modelul reologic Ostwald de Waele
Determinarea parametrilor reologici ai
modelului Ostwald de Waele se bazeaza pe sirul de egalitati similare pentru
viteza de deformare prin forfecare si tinand seama de ecuatia constitutiva,
:
(3.99)
Se urmareste obtinerea relatiei de
corelare intre viteza unghiulara a cilindrului interior,
, functie de momentul de torsiune,
, sau efortul de forfecare la peretele cilindrului rotitor,
.
Din relatia (3.88) si (3.99) rezulta:


(3.100)
In ipoteza in care jocul radial
dintre cei doi cilindrii este foarte mic, practic neglijabil,
, ecuatia (3.100) are expresia:
(3.100.a)
In ipoteza in care jocul radial
dintre cei doi cilindrii este foarte mare, practic infinit,
si
, ecuatia (3.100) are expresia:
(3.100.b)
Daca se dispune de un set de date
experimentale
prin reprezentare
grafica intr-o diagrama logaritmica, fig. 3.30 si fig. 3.31, se obtine o
dreapta:

(3.101)


Fig.3.30.Determinarea parametrilor Fig.3.31.Determinarea
parametrilor
modelului reologic Ostwald de Waele, modelului reologic Ostwald de Waele,
Din panta
dreptelor rezulta indicele de curgere,
:
(3.102)
sau
(3.103)
Indicele de
consistenta,
, rezulta din conditia ca dreapta (3.101) sa treaca prin
punctele
sau
, exemplu punctul
, sau ecuatia (3.100) sa verifice coordonatele punctului
:
(3.104)
(3.104.a)
sau:
(3.105)
(3.105.a)
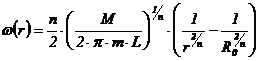
Distributia radiala a vitezei unghiulare de
curgere,
. Din egalitatea termenilor trei si cinci din ecuatia
(3.99) si expresia (3.81) rezulta:
;
.
Prin izolarea variabilelor si
integrare intre o raza curenta,
, la care viteza unghiulara este curenta,
, si raza cilindrului exterior fix,
, la care viteza unghiulara este nula din conditia de
stationaritate rezulta:

(3.106)
Prin inlocuirea momentului de
torsiune,
, cu viteza unghiulara,
, ecuatia (3.106) devine:
(3.106.a)
Profilul radial al vitezei unghiulare de curgere,
variaza ca si
.
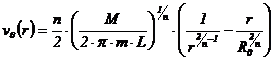
Distributia radiala a vitezei tangentiale
de curgere,
. Deoarece viteza tangentiala,
, se obtine distributia radiala a vitezei tangentiale de
curgere:
(3.107)
Prin inlocuirea momentului de
torsiune,
, cu viteza unghiulara,
, ecuatia (3.107) devine:
(3.107.a)
Distributia radiala a vitezei de deformare
prin forfecare,
. Din egalitatea termenilor unu cu trei din sirul de
egalitati (3.99) si expresia (3.81) se obtine:
(3.108)
Prin inlocuirea momentului de
torsiune,
, cu viteza unghiulara,
, ecuatia (3.108) devine:
(3.108.a)
Viteza de deformare prin forfecare evaluata la suprafata cilindrului interior se calculeaza cu relatia:
(3.108.b)
in care viteza de deformare prin forfecare variaza ca si
. Valoarea medie a vitezei de deformare prin forfecare se
calculeaza la raza ca medie geometrica intre cele doua raze ale cilindrilor,
:
(3.109)
Prin inlocuirea momentului de
torsiune,
, cu viteza unghiulara,
, ecuatia (3.109) devine:
(3.109.a)
Distributia radiala a viscozitatii aparente,
.
(3.110)
(3.110.a)
Copyright © 2025 - Toate drepturile rezervate