![]() | Biologie | Chimie | Didactica | Fizica | Geografie | Informatica |
| Istorie | Literatura | Matematica | Psihologie |
Curgeri izoterme prin canale
In masinile de prelucrare a polimerilor, pastelor si fluidelor alimentare, etc. are loc
Curgerea are loc printr-o succesiune de canale, fig.3.47.
Curgerile izoterme au loc la temperatura
1 2 3 4 5 6 7
Fig. 3. 47. Geometrii elementare ale canalelor:
1 - cilindric circular; 2 - conic convergent; 3 - conic divergent;
4 - cilindric inelar; 5 - conic inelar convergent; 6 - conic inelar divergent;
7 - paralelipipedic cu fanta lata.
In cele mai multe cazuri, datorita simetriei canalelor, se recurge la coordonate cilindrice pentru caracterizarea curgerii. Se vor considera numai curgeri simple, fortele gravitationale fiind de cele mai multe ori neglijate in raport cu ceilalti termeni ce apar in ecuatiile de curgere.
1. Canal cilindric cu sectiune libera
Se considera canal cilindric cu sectiune libera acea geometrie de curgere in care fluidul umple complet sectiunea transversala de curgere, fig.3.47. - 1.
1.1. Modelul reologic Ellis
Geometria canalului cilindric cu sectiune libera si a distributiei radiale a vitezei axiale de curgere este reprezentata in fig. 3.48.:

Fig.3.48. Geometria canalului cilindric cu sectiune libera si
distributia radiala a vitezei axiale de curgere.
Ecuatia constitutiva:
;
(3.192)
din cele doua relatii de mai sus se expliciteaza viteza de deformare prin forfecare::
(3.193)
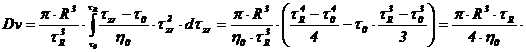
Utilizand relatia de calcul a debitului volumetric la curgerea printr-un canal cilindric cu sectiune libera (3.136) rezulta:

(3.194)
Deoarece efortul de forfecare la peretele canalului este dat de relatia (3.131
![]()
rezulta ca relatia (3.194) coreleaza debitul volumetric functie de caderea de presiune.
Viteza de deformare prin forfecare (3.193) permite calculul vitezei de deformare prin forfecare evaluata la peretele canalului:
(3.195)
Deoarece ecuatia (3.132) coreleaza efortul de forfecare curent functie de efortul de forfecare evaluat la peretele canalului, se obtine pentru viteza de deformare prin forfecare, ecuatia (3.193), expresia:
(3.196)
Se izoleaza variabilele in ecuatia (3.196) si se integreaza intre o valoare curenta a razei si peretele canalului pentru a obtine distributia radiala a vitezei de curgere:


(3.197)
Distributia radiala a vitezei axiale de curgere este descrisa de o parabola degenerata.
Pentru
si
, viscozitatea dinamica a fluidului newtonian din ecuatia
(3.194) se obtine ecuatia de corelare a debitului volumetric functie de caderea
de presiune pentru fluidul newtonian,
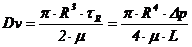
(3.198)
Relatia de mai sus este ecuatia
In cazul fluidului newtonian distributia vitezei de curgere este parabolica:
(3.199)
Aplicatia 1.
Viscozitatea cinematica a unui fluid newtonian se determina cu ajutorul unui viscozimetru Ubbelohde. Volumul de fluid intre reperele M1 si M2 este V 5,7 cm3, lungimea capilarei este L 90 mm, inaltimea coloanei de lichid este H 130 mm, diametrul capilarei este d 1,12 mm, durata de scurgere a fluidului este Dt 73,4 s. Sa se determine valoarea viscozitatii cinematice.

![]()
M1

![]()
![]()
![]()
![]()
![]()
![]()
M2
H L d

Rezolvare:
![]()
![]()

![]()

![]()
![]()
![]()

![]()

![]()
![]()

![]()
![]()
![]()
![]()
![]()
1.2. Modelul reologic Bingham
Ecuatia constitutiva a fluidului Bingham este:
(3.200)
Geometria canalului cilindric cu sectiune libera si a distributiei radiale a vitezei axiale de curgere este reprezentata in fig. 3.49.:

Fig.3.49. Geometria canalului cilindric cu sectiune libera si
distributia radiala a vitezei axiale de curgere.
Relatia de corelare a debitului volumetric functie de caderea de presiune se obtine pornind de la ecuatia (3.136) modificata pentru fluidul Bingham:
(3.201)
Din ecuatia (3.200) se expliciteaza viteza de deformare prin forfecare, se substituie in ecuatia (3.201) si se integreaza:

(3.202)
Ecuatia (3.202) este ecuatia Reiner - Buckingham.
Pentru
si
cazul fluidului newtonian, ecuatia Reiner - Buckingham este echivalenta cu
ecuatia
![]()
Se introduc urmatoarele criterii de similitudine hidrodinamica:
numarul Reynolds al plasticului Bingham:
; (3.203)
numarul Bingham:
; (3.204)
numarul Hedström:
(3.205)
Coeficientul de frecare la alunecarea fluidului la peretele canalului:
-
(3.206)
Diagrama coeficient de frecare functie de numarul Reynolds cu numarul Bingham ca parametru de reprezentare se numeste diagrama Hedström, similara diagramei Moody pentru fluidul newtonian.
In ecuatia (3.202) se pune in evidenta o dependenta a raportului eforturilor de
forfecare
in raport cu numarul
Bingham. In acest sens se reia ecuatia (3.202) si se rescrie sub forma:

(3.207)
Din ecuatia (3.207) se poate explicita dependenta:
![]()
Se pot obtine si cateva cazuri particulare ale ecuatiei (3.207) pentru cateva domenii ale valorilor numarului Bingham:
- pentru
si
(3.208)
- pentru
si
sau
(3.209)
Ecuatiile (3.207), (3.208), (3.209) sunt reprezentate grafic in fig.3.50.

Fig.3.50. Variatia raportului eforturilor de forfecare
in raport cu numarul Bingham
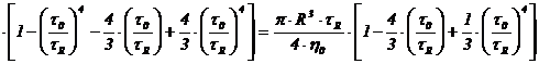
Ecuatia (3.208) permite calculul parametrilor reologici ai fluidului Bingham dupa rescrieri succesive:
;
;
Deoarece:
;
(3.210)
;
;
;
. (3.211)
Daca se
dispune de un set de date experimentale
sau
obtinut intr-un canal
cilindric cu sectiune libera, se reprezinta intr-o diagrama cu diviziuni
echidistante, fig.3.51. si se determina parametrii
fluidului Bingham:

Fig.3.51. Reograma pentru determinarea parametrilor
modelului Bingham
Distributia radiala a vitezei axiale de curgere si a vitezei de deformare prin
forfecare.
In expresia vitezei de deformare prin forfecare in care apare ca variabila efortul de forfecare se schimba variabila in raport cu raza :
;
;
; (3.212)
Se izoleaza variabilele in ecuatia (3.212) si se integreaza intre o valoare curenta a razei si peretele canalului pentru a obtine distributia radiala a vitezei de curgere:
;
;
. (3.213)
Pentru
si
cazul fluidului newtonian se obtine distributia vitezei de curgere data de
ecuatia (3.199).
1.3. Modelul reologic Ostwald de Waele
Ecuatia constitutiva are expresia:
![]()
La curgerea fluidelor nenewtoniene de tip Ostwald de Waele se disting urmatoarele situatii:
aderenta fluidului la peretele canalului,
conduce la un profil
radial
parabolic al vitezei de curgere,
pentru topitura de policlorura de vinil ( PVC ), topitura de polietilena,
polimeri cu masa moleculara medie numerica
, amestecuri de cauciuc;
aderenta fluidului la peretele canalului, in cazul topiturilor de polimeri cu
viscozitate aparenta mica conduce la un profil liniar al vitezei de curgere pentru o grosime a stratului limita hidrodinamic mare. In rest profilul vitezei de curgere este parabolic;
alunecarea fluidului la peretele canalului,
, conduce la un profil
parabolic al vitezei de curgere,
cazul topiturilor de polimeri cu viscozitate aparenta mare,
- viteza de alunecare
la peretele canalului;
- comportarea reologica ideala a fluidului, curgere de tip piston, elementele de fluid sunt translatate uniform cu aceeasi viteza de curgere.
1.3.1. Modelul curgerii cu aderenta la peretele canalului
Geometria canalului cilindric cu sectiune libera si a distributiei radiale a vitezei axiale de curgere este reprezentata in fig. 3.53.:

Fig.3.53. Geometria canalului cilindric cu sectiune libera si distributia
radiala a vitezei axiale de curgere.
Relatia de corelare a debitului volumetric functie de caderea de presiune se obtine pornind de la ecuatia (3.136) in care se introduce viteza de deformare prin forfecare explicitata din ecuatia constitutiva:
;
(3.214)
(3.215)
inlocuind efortul de forfecare evaluat la peretele canalului functie de caderea de presiune se obtine:
(3.216)
Pentru
si
, cazul fluidului newtonian, se obtine ecuatia
![]()
Viteza medie de curgere a fluidului Ostwald de Waele este:
(3.217)
Distributia radiala a vitezei axiale de curgere si a vitezei de deformare prin forfecare:
In expresia vitezei de deformare prin forfecare in care apare ca variabila efortul de forfecare se schimba variabila in raport cu raza :
(3.218)
se izoleaza variabilele si se integreaza:
; (3.219)
In axa canalului,
si
, viteza maxima de curgere :
(3.220)
Profilul vitezei de curgere se rescrie sub forma:
(3.221)
Pentru
cazul fluidului newtonian ,
, profilul
vitezei de curgere este parabolic;
Pentru
, cazul fluidului pronuntat pseudoplastic,
, profilul vitezei de curgere este de tip piston;
Pentru
, cazul fluidului pronuntat dilatant,
, profilul vitezei de curgere este de tip lance.
1.3.2. Modelul curgerii cu alunecare la peretele canalului
Geometria canalului cilindric cu sectiune libera si a distributiei radiale a vitezei axiale de curgere este reprezentata in fig. 3.54:

Fig.3.53. Geometria canalului cilindric cu sectiune libera si distributia
radiala a vitezei axiale de curgere.
Ecuatia de curgere are expresia:
(3.222)
Se izoleaza variabilele in ecuatia
(3.222) si se integreaza in raport cu variabilele
si
tinand seama de
conditiile la limita corespunzatoare axei canalului si peretelui canalului:
;
, (3.223)
Deoarece evolutia profilului
vitezei de curgere in lungul canalului, fig.3.53, este de la parabolic la plan
paralel, efortul de forfecare la peretele canalului nu mai este constant,
, ca in cazul aderentei la peretele canalului, ci variaza
axial prin intermediul dependentei axiale de presiune:
(3.224)
in care:
reprezinta
coeficientul de alunecare la peretele canalului;
Cupland ecuatiile (3.223) si (3.224) si integrand se obtine succesiv profilul axial al presiunii:
;
;
;
(3.225)
iar distributia axiala a eforului de forfecare evaluat la peretele canalului se obtine din ecuatia (3.224) si are expresia:
(3.226)
Distributia vitezei de curgere. Viteza de deformare prin forfecare in cazul alunecarii la peretele canalului devine:
(3.227)
Prin separarea variabilelor si integrare, intre o pozitie
curenta radiala a canalului,
pentru care viteza de curgere este
una curenta,
, si peretele canalului avand raza,
, pentru care viteza de curgere este cea de alunecare,
, se obtine profilul radial si axial al vitezei de curgere:
;
;
; (3.228)
Debitul volumetric se calculeaza functie de viteza de curgere data de ecuatia (3.228


(3.229)
Din expresia de mai sus se expliciteaza viteza de alunecare la peretele canalului:
(3.230)
Viteza de curgere din ecuatia (3.228) cuplata cu ecuatia (3.230) devine:
(3.231)
Conform descrierii anterioare a fenomenului, rezulta ca de o coordonata axiala,
pana la iesirea din canal,
, are loc curgerea cu alunecare la perete,
, astfel incat se
formuleaza urmatoarea conditie la limita:
;
(3.232)
Din ecuatia (3.230) si tinand seama
de conditia la limita (3.232) se obtine valoarea axiala de la care apare
alunecarea la peretele canalului
:
;
;
(3.233)
Presiunea corespunzatoare acestei pozitii este data de ecuatia (3.225):
; (3.234)
Exista o pozitie radiala la care
viteza de curgere este
:
;
. (3.235)
Pentru a evidentia aderenta si alunecarea la peretele canalului se reprezinta grafic atat profilul axial al presiunii cat si profilil axial al efortului de forfecare evaluat la peretele canalului. In ipoteza aderentei la peretele canalului, profilul axial al presiunii este liniar iar in ipoteza alunecarii la peretele canalului, profilul axial al presiunii este exponential, fig.3.54.:

Fig.3.54. Profilul axial al presiunii si efortului de forfecare in ipoteza
aderentei si alunecarii la peretele canalului
Aplicatia 1.
Un fluid Ostwald de Waele curge printr-un canal cilindric cu sectiune libera. Parametrii reologici sint: n 0 ; m 2,277×104 Pa×sn. Coeficientul de alunecare la peretele canalului este ma 0,2, presiunea la iesire din canal este pL 1×105 Pa, raza canalului este R 4,1 mm, lungimea canalului este L 3 cm, debitul volumetric al fluidului este Dv 9 cm3×s-1. Sa se calculeze si sa se reprezinte grafic:
a.) profilul vitezei de alunecare la perete;
b.) profilul vitezei de curgere pentru L z 1; 20; 22; 23 mm;
c.) profilul de presiune si pozitia radiala pentru care viteza de curgere are aceeasi valoare indiferent de pozitia axiala.
Rezolvare:

![]()
![]()
![]()
![]()
![]()


![]()

![]()
![]()
![]()
![]()



![]()

![]()




![]()

![]()
![]()
![]()
![]()
![]()
![]()
![]()
![]()
![]()
![]()
![]()
![]()
![]()

![]()
![]()
![]()
![]()



![]()
![]()
![]()
![]()
![]()
![]()



![]()
![]()
![]()
![]()
![]()


1.3.3. Caracterizarea tranzitiei de la regimul laminar la cel turbulent
de curgere
Caracterizarea tranzitiei de la regimul de curgere laminara la regimul de curgere turbulenta se defineste prin parametrul generalizat al stabilitatii curgerii:
. (3.236)
Se considera un canal cilindric cu sectiune libera si comportarea reologica a fluidului este de tip Ostwald de Waele. Se reiau expresiile tuturor marimilor care apar in relatia de mai sus, dupa cum urmeaza:
efortul de forfecare evaluat la peretele canalului, ecuatia (3.131):
;
viteza de deformare prin forfecare, ecuatia (3.228):
;
viteza de curgere, ecuatia (3.229):
;
viteza medie de curgere, ecuatia (3.227):
;
;
.
Se inlocuiesc marimile de mai sus in ecuatia (3.236) si
rezulta:![]()
![]()



; (3.237)
Se calculeaza raza adimensionala,
pentru care parametrul generalizat
al stabilitatii curgerii,
, este minim:
, (3.238)
;
;
;
. (3.239)
Valoarea maxima a parametrului
generalizat al stabilitatii curgerii,
se obtine inlocuin expresia
(3.239) in expresia (3.237):



. (3.240)
in care:
este
diametrul canalului.
Se introduce notiunea de numarul Reynolds modificat:
, (3.241)
si expresia (3.240) se scrie sub forma:
. (3.242)
Ecuatia (3.242) la punctul critic, adica la tranzitia de la regimul laminar la cel turbulent de curgere se scrie sub forma:
. (3.243)
. (3.244)
In cazul fluidului newtonian,
numarul Reynolds devine:
(3.245)
Numarul Reynolds se mai poate scrie sub forma:
; (3.246)
in care
este viscozitatea
efectiva avand expresia:
. (3.247)
Parametrul generalizat al stabilitatii curgerii critic, pentru fluidul newtonian are valoarea:
,
(3.248)
. (3.249)
Daca:
- regim laminar de
curgere;
- regim turbulent de
curgere.
Copyright © 2026 - Toate drepturile rezervate